IPB
ЛогинПароль:

> Компиляция правил для данного раздела

1. Заголовок темы должен быть информативным. В противном случае тема закрывается и удаляется ...
2. НЕ используйте форум для личного общения, все что не относится к обсуждению темы - на PM!
3. Одна тема - один вопрос (задача)
4. Спрашивайте и отвечайте четко и по существу!!!

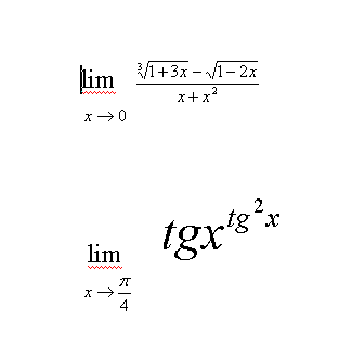
> пределы
сообщение
Сообщение #1


Пионер
**

Группа: Пользователи
Сообщений: 82
Пол: Женский

Репутация: -  0  +


вот такие 2 предела, только поалуйста не сразу ответ, а промежуточные вычисления тоже

Читай Правила! Файлы doc запрещены на Форуме
В следующий раз просто удалю..
Lapp


Прикрепленное изображение



Сообщение отредактировано: lapp -
 Оффлайн  Профиль  PM 
 К началу страницы 
+ Ответить 
 
 Ответить  Открыть новую тему 
Ответов
сообщение
Сообщение #2


просто человек
******

Группа: Пользователи
Сообщений: 3 641
Пол: Женский
Реальное имя: Юлия

Репутация: -  55  +


второе - ответ: 1 (а какие были варианты? просто подставить...)
первое... получается 2.

Сообщение отредактировано: мисс_граффити -


--------------------
Все содержимое данного сообщения (кроме цитат) является моим личным скромным мнением и на статус истины в высшей инстанции не претендует.
На вопросы по программированию, физике, математике и т.д. в аське и личке не отвечаю. Даже "один-единственный раз" в виде исключения!
 Оффлайн  Профиль  PM 
 К началу страницы 
+ Ответить 
сообщение
Сообщение #3


Пионер
**

Группа: Пользователи
Сообщений: 82
Пол: Женский

Репутация: -  0  +


хмммммм...а я во втором искала какуюто нереальную загадку) спасибо)
а 1ый ты как делала? хотя бы метод без вычислений
 Оффлайн  Профиль  PM 
 К началу страницы 
+ Ответить 

Сообщений в этой теме


 Ответить  Открыть новую тему 
1 чел. читают эту тему (гостей: 1, скрытых пользователей: 0)
Пользователей: 0

 





- Текстовая версия 28.12.2025 21:32
500Gb HDD, 6Gb RAM, 2 Cores, 7 EUR в месяц — такие хостинги правда бывают
Связь с администрацией: bu_gen в домене octagram.name