1. Заголовок темы должен быть информативным. В противном случае тема удаляется ...
2. Все тексты программ должны помещаться в теги [code=pas] ... [/code], либо быть опубликованы на нашем PasteBin в режиме вечного хранения.
3. Прежде чем задавать вопрос, см. "FAQ", если там не нашли ответа, воспользуйтесь ПОИСКОМ, возможно такую задачу уже решали!
4. Не предлагайте свои решения на других языках, кроме Паскаля (исключение - только с согласия модератора).
5. НЕ используйте форум для личного общения, все что не относится к обсуждению темы - на PM!
6. Одна тема - один вопрос (задача)
7. Проверяйте программы перед тем, как разместить их на форуме!!!
8. Спрашивайте и отвечайте четко и по существу!!!
| Fanat |
Сообщение
#1
|
![]() Fanat ![]() ![]() ![]() Группа: Пользователи Сообщений: 261 Пол: Мужской Реальное имя: Сергей Репутация: 5 |
Как разбить ориентированное дерево на все неизоморфные поддеревья?..Входные данные-например,FO представление.
|
![]() ![]() |
| Маня |
Сообщение
#2
|
|
Группа: Пользователи Сообщений: 9 Пол: Женский Репутация: 1 |
О!!! У меня родилась идея,точнее мысль
Примеры графов в прикрепленных файлах. Выходит,что у первого графа итог 5- (3,4), соедин. 3, у второго 5-(3,4), соедин. 3,выходит,что они изоморфны, но даже по рисункам с первого взгляда видно, что они неизоморфны.Что это значит? Что способ неверен? или же мы проверяем не только конечный итог, но весь массив? Для первого это: 0-лист 1-(0,1) 2-(0,3) 3-(1,3) (2,2) 4-(2,1) 5-(3,4) Для второго: 0-лист 1-(0,1) 2-(0,3) 3-(1,3) 4-(2,2) 5-(3,4) -------------------- Потому что, потому что
Всех нужнее и дороже, Всех доверчивей и строже В этом мире доброта В этом мире ДОБРОТА |
| Michael_Rybak |
Сообщение
#3
|
|
Michael_Rybak ![]() ![]() ![]() ![]() ![]() Группа: Пользователи Сообщений: 1 046 Пол: Мужской Реальное имя: Michael_Rybak Репутация: 32 |
Молодец что придумала пример
Цитата Теперь делаем то же самое с другим графом, причем табличку строим не заново, а продолжаем строить эту! Если они изоморфны, то в конце он тоже свернется в пару 3-4, соединенную ребром вида 3, и получит индекс 5. Видишь? Не заново, а продолжаем строить эту! Что касается реализации - на паскале я бы сначала слегка застрелился, а потом бы уже писал. STL все-таки страшно развращает. Ты на чем собралась писать? Граф я храню FO представлением, но таким двойным: из каждой вершины помню все ребра, и входящие, и исходящие. Каждое ребро, таким образом, встречается 2 раза. При этом на каждом ребре ставлю отметку, какое оно (туда, обратно или в обе стороны). Результат свертки для каждой вершины храню отдельной структурой (динамическим массивом, содержащим в порядке возрастания индексы приклееных вершин). |
Fanat Теория графов.Оргдеревья. 4.11.2006 15:48
Michael_Rybak Идем от листов вверх к корню, и индексируем по ход… 4.11.2006 16:45
Fanat Требуеться разбить на ВСЕ неизоморфные поддеревья.… 6.11.2006 17:13
Michael_Rybak
Требуеться разбить на ВСЕ неизоморфные поддеревья… 6.11.2006 17:55
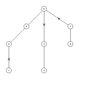
Fanat Например,рассмотрим такое огрдерево.
Дерево имее… 7.11.2006 1:00
Michael_Rybak Приведи, пожалуйста, определения "FO представ… 7.11.2006 2:01
Fanat Ориентированное дерево — это ориентированный граф … 7.11.2006 5:17
Michael_Rybak Я сейчас выхожу, подумаю над задачей в дороге. А т… 7.11.2006 13:40
Michael_Rybak И еще: "без циклов" = без ориентированны… 7.11.2006 18:47
Fanat
И еще: "без циклов" = без ориентированн… 7.11.2006 22:48
Michael_Rybak
Алгоритм: как представляю себе я, подвесим граф з… 8.11.2006 0:36
Fanat Можешь на примере показать что мы храним в массива… 8.11.2006 1:40
Michael_Rybak
Можешь на примере показать что мы храним в массив… 8.11.2006 2:05
Fanat Сколько думал, а сделать ничё не могу..... :blink: 14.11.2006 21:49
Michael_Rybak Давай шаг за шагом.
1. Напиши программу, которая … 14.11.2006 22:58
Маня Такая вот задача:
требуется определить изоморфны л… 8.11.2006 4:15
Michael_Rybak Прочти мой первый пост здесь.
Алгоритм, который я… 8.11.2006 6:18
Маня Послушайте! А если я сделаю так?
Как всё это н… 16.11.2006 3:41
Michael_Rybak Эвристики тут ни к чему. Сравнить два графа можно … 16.11.2006 4:49
Маня Там все связано с разбиением деревьев на поддеревь… 17.11.2006 2:40
Michael_Rybak Там *не все* связано с разибиением на поддеревья. … 17.11.2006 3:25
Маня понимаешь,я уже несколько раз все твои сообщения п… 18.11.2006 23:30
Michael_Rybak Давай разберемся с тем, что я называю индексацией.… 19.11.2006 6:01
Маня Ой !!! Спасибо огромное!
Знаешь,а… 20.11.2006 3:48
Michael_Rybak Молодец, Маня, порадовала! :)
Да, очень прав… 20.11.2006 6:17
Маня :good: :good: :good:
Просто СУПЕР!!… 23.11.2006 2:26
Маня Значится так, вот как я поняла этот алгоритм: :… 28.11.2006 15:26
Michael_Rybak Схему ты описала правильно, но вот правильно ли ты… 28.11.2006 18:46![]() ![]() |
|
Текстовая версия | 18.02.2026 11:32 |