1. Заголовок темы должен быть информативным. В противном случае тема удаляется ...
2. Все тексты программ должны помещаться в теги [code=pas] ... [/code], либо быть опубликованы на нашем PasteBin в режиме вечного хранения.
3. Прежде чем задавать вопрос, см. "FAQ", если там не нашли ответа, воспользуйтесь ПОИСКОМ, возможно такую задачу уже решали!
4. Не предлагайте свои решения на других языках, кроме Паскаля (исключение - только с согласия модератора).
5. НЕ используйте форум для личного общения, все что не относится к обсуждению темы - на PM!
6. Одна тема - один вопрос (задача)
7. Проверяйте программы перед тем, как разместить их на форуме!!!
8. Спрашивайте и отвечайте четко и по существу!!!
| xlr8 |
Сообщение
#1
|
|
Новичок ![]() Группа: Пользователи Сообщений: 22 Пол: Мужской Репутация: 0 |
|
![]() ![]() |
| мисс_граффити |
Сообщение
#2
|
![]() просто человек ![]() ![]() ![]() ![]() ![]() ![]() Группа: Пользователи Сообщений: 3 641 Пол: Женский Реальное имя: Юлия Репутация: 55 |
-------------------- Все содержимое данного сообщения (кроме цитат) является моим личным скромным мнением и на статус истины в высшей инстанции не претендует.
На вопросы по программированию, физике, математике и т.д. в аське и личке не отвечаю. Даже "один-единственный раз" в виде исключения! |
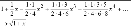
xlr8 Помогите посчитать ряд... 20.12.2006 2:04
мисс_граффити читай FAQ!!!!
стопицот тыщ раз реш… 20.12.2006 2:07
xlr8
читай FAQ!!!!
стопицот тыщ раз ре… 20.12.2006 2:14![]() ![]() |
|
Текстовая версия | 26.12.2025 10:28 |