Надеюсь на вашу хоть какую нибудь помощь!
Лабораторная работа, которую я понятия не имею как делать!
Хоть подскажите, помогите как делать и с чего начать!
Очень буду благодарен!
Тема: Вычисление функций с использованием операторов повторения
Цель задания: Получение навыков в выборе и использовании операторов цикла.
Операторы повторения:
1. Счётный оператор цикла: FOR, TO, DO
2. Оператор цикла WHILE с предпроверкой условия: WHILE, DO
3. Оператор цикла REPEAT…UNTIL с постпроверкой условия
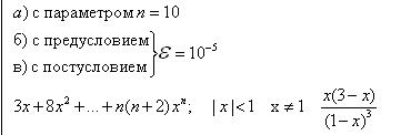
а) Вычислить значения Z:
б) Вычислить сумму функционального ряда:










