1, инт dx/sqrt(5-7x+3x^2)
у меня получается так: выделяю полный квадрат z=x-7/6 ? тогда
1/sqrt(3)инт dz/sqrt(z^2+11/36) а это по таблице будет 1/sqrt(3)ln (z+sqrt(z^2+11/36))
не могу понять где у меня ошибка...
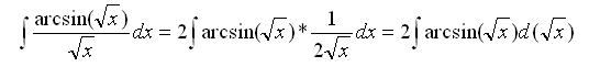
2, инт arcsin(sqrtx)/sqrt(x)
делаю по частям: u=arcsin (sqrt(x)) du=dx/sqrt(1-x) dv=dx/sqrt(x) v=2sqrt(x)
и как взять инт sqrt(x)/sqrt(1-x)dx????
заранее спасибо











