Ведено 5 логических операций (конъюнкция, дизъюнкция, отрицание, импликация, эквиваленция).
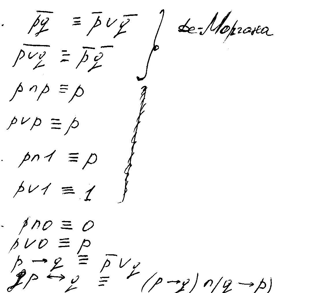
Можно обойтись 3-мя, выразив 2 другие через 3 выбранных, используя имеющиеся формулы равносильностей(см. прикрепленные файлы).
Мне нужно выбрать 4 такие тройки и доказать или опровергнуть требуемое.
Что-то я не представляю, как можно выразить...
Сообщение отредактировано: 18192123 -












