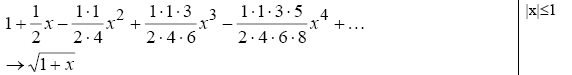
program Ind_Ryad;
Uses Crt;
Var x,y:real;
Function my_func(x:real):real;
Var i:integer;
z,s,p,a,b,k,t:real;
begin
i:=1;
a:=1;
b:=1;
k:=-1;
p:=1;
s:=1;
while abs(a/b)>0.01 do
begin
a:=a*abs(k);
b:=b*(2*i);
s:=s+((a/b)*p*x);
p:=-p;
x:=x*x;
k:=k+2;
i:=i+1;
end;
my_func:=s;
writeln('s=',s);
end;
Begin
clrscr;
x:=-1;
while x<=1 do
begin
y:=my_func(x);
x:=x+0.1;
end;
readkey;
End.
Сообщение отредактировано: xlr8 -










