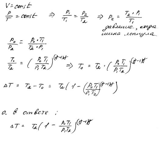
Автомобильная шина накачана до давления р1=220 кПа при Т1=290К. Во время движения она нагрелась до температуры Т2=330К и лопнула. Считая процесс, происходящий после повреждения шины, адиабатным, определить изменение температуры Т вышедшего воздуха. Внешнее дпаление р0 воздуха равно 100кПа.
Вроде бы решила, но мой ответ не сходится с ответом задачником.....
В чём я ошибаюсь?
			
 
 

  
        	





 
