В общем есть неравенство. Необходимо найти все значения х, удовлетворяющие неравенству при любом значении параметра а из промежутка. Проблема в том, что если промежуток для а представляет собой интервал между двумя цифрами, например, (-2;3), то у меня получается все решить. А если промежуток выглядит как (1; +бесконечности) - я решить не могу.. точнее я получаю промежуток для х, одно число которого совпадает с ответом, а другое - нет.
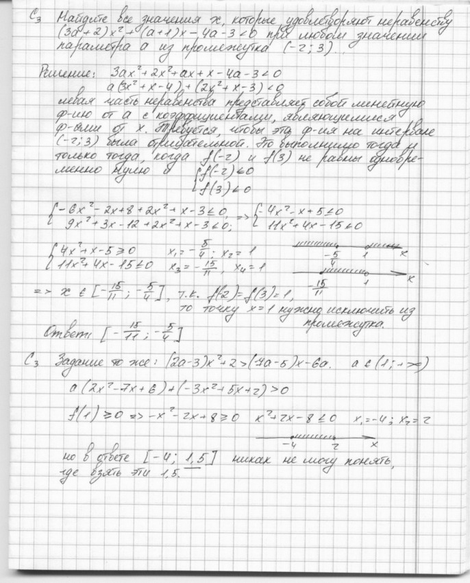
На картинке пример решения одного неравенства, и начало второго:
Второе неравенство:
Цитата
найти все значения х, которые удовлетворяют неравенству (2а-3)x*x+2>(7а-5)х-6а при любом значении параметра а из промежутка (1; +бесконечности).
Я думаю, что во втором задании я тоже должна перейти к системе по типу первого, но я не могу ее составить, не понимаю по какому принципу... Можете объяснить, как решать второе неравенство, желательно таким же способом, как я решала первое?..
Заранее спасибо!
Сообщение отредактировано: Айра -

 
 
  
        	





 
 
 
