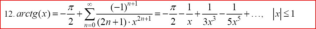
в общем вот мой код
program lab4;
uses crt;
const maxiter = 500;
var
x1,x2,dX,E:real; {x1 - Xnach, x2- Xkon, dX- shag, E -tochnost}
n:integer; {schetchik vicheslennih elementov ryada}
function getY(x,E:real):real;
var y,ch:real; {y-znachenie funcii arcctg(x), ch - element ryada}
begin
ch:= 1/x; {pervii element ryada}
y:= -pi/2;
n:=1;
while (abs(ch)>E) do
begin
y:=y+ch;
inc(n);
ch:=ch*(-1)*(2*n+1) /((2*n+3)*x*x); {vichislaem ocherednoi element ryada}
{if (n mod 2) <> 0 then ch:=-ch;}
{podschitivaem kol-vo vicheslennih elementov ryada}
if (n>maxIter) then
begin
write('ryad rashoditsa!');
break;
end;
end;
getY:=y;
end;
begin
clrscr;
writeln('vvedite x1,x2,dX,E:');
readln(x1,x2,dX,E);
if (x1>=(-pi/2)) and (x1<=(pi/2)) and (x2>=(-pi/2)) and (x2<=(pi/2)) then {sootvetvuet oblasti dop. znachenii ? stroim tablicu}
begin
writeln('arcctg(x)------------------------------');
writeln('|X |Y |N'); {shapka tablici}
while (x1<=x2) do
begin
writeln('|',x1,'|',getY(x1,e),'|',n); {postroenie tablici znachenii ot x1 do x2 s shagom dX}
x1:=x1+dX;
end;
writeln('---------------------------------------');
end
else
writeln('nevernie dannie x1<=x2,x=[-pi/2;pi/2]!!');
begin
writeln('nazmite enter');
readln;
end;
end.
помогите пожалуйста. вот условие задачи.










