1. Заголовок темы должен быть информативным. В противном случае тема удаляется ...
2. Все тексты программ должны помещаться в теги [code=pas] ... [/code], либо быть опубликованы на нашем PasteBin в режиме вечного хранения.
3. Прежде чем задавать вопрос, см. "FAQ", если там не нашли ответа, воспользуйтесь ПОИСКОМ, возможно такую задачу уже решали!
4. Не предлагайте свои решения на других языках, кроме Паскаля (исключение - только с согласия модератора).
5. НЕ используйте форум для личного общения, все что не относится к обсуждению темы - на PM!
6. Одна тема - один вопрос (задача)
7. Проверяйте программы перед тем, как разместить их на форуме!!!
8. Спрашивайте и отвечайте четко и по существу!!!
| KATYSHA |
Сообщение
#1
|
![]() Новичок ![]() Группа: Пользователи Сообщений: 48 Пол: Женский Реальное имя: Катюшка Репутация: 0 |
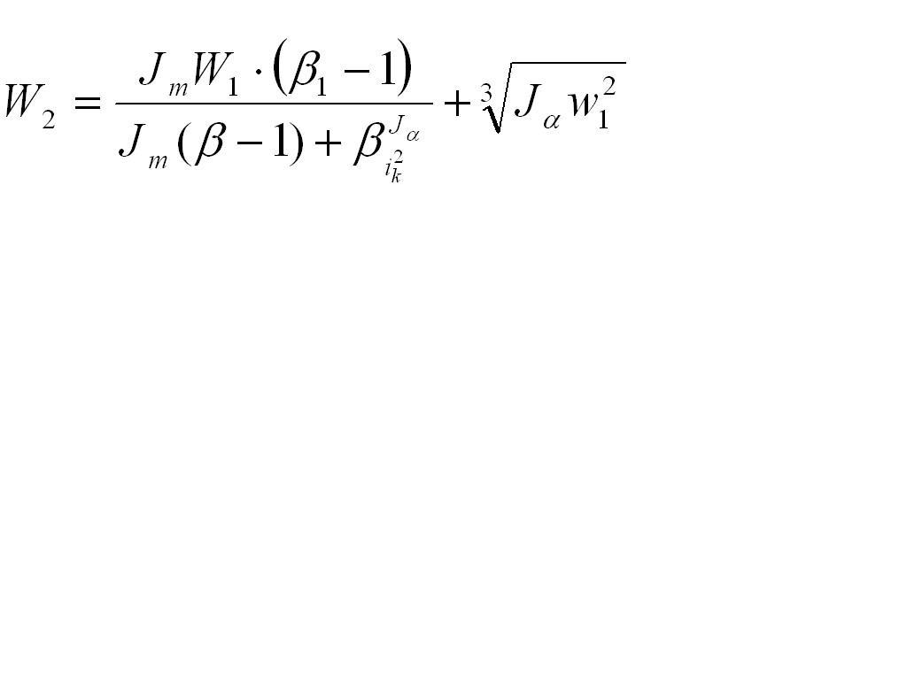
помогите пожалуйста написать программку.Задание такое: Вычислить значения арифметического выражения.
впринципе не сложно,но я не знаю как в коде написать числа с такими индесами. Эскизы прикрепленных изображений |
KATYSHA Решение выражения 5.03.2006 22:36
volvo А ты на вопросы, заданные здесь: Решение выражения… 5.03.2006 22:41
KATYSHA
А ты на вопросы, заданные здесь: Решение выражени… 6.03.2006 20:41
volvo Ну, если ты сразу не поняла, вот тебе еще раз ТЕ Ж… 6.03.2006 20:47![]() ![]() |
|
Текстовая версия | 24.12.2025 10:00 |