IPB
ЛогинПароль:

> Компиляция правил для данного раздела

1. Заголовок темы должен быть информативным. В противном случае тема закрывается и удаляется ...
2. НЕ используйте форум для личного общения, все что не относится к обсуждению темы - на PM!
3. Одна тема - один вопрос (задача)
4. Спрашивайте и отвечайте четко и по существу!!!

> Интегралы
сообщение
Сообщение #1


Пионер
**

Группа: Пользователи
Сообщений: 114
Пол: Мужской
Реальное имя: Ден

Репутация: -  0  +


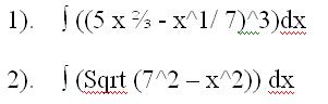
Помогите пожалуйста решить парочку интегралов.. unsure.gif

Там в первом интеграле идёт 5x в степени 2/3 , а то у меня ошибка... на рисунке

Сообщение отредактировано: Merlin -


Эскизы прикрепленных изображений
Прикрепленное изображение

--------------------
 Оффлайн  Профиль  PM 
 К началу страницы 
+ Ответить 
 
 Ответить  Открыть новую тему 
Ответов(1 - 1)
сообщение
Сообщение #2





Группа: Пользователи
Сообщений: 4
Пол: Мужской

Репутация: -  0  +


Цитата(Merlin @ 24.04.2006 18:55) *

Помогите пожалуйста решить парочку интегралов.. unsure.gif

Там в первом интеграле идёт 5x в степени 2/3 , а то у меня ошибка... на рисунке


Если тебе первый интеграл не решить, то задумайся не стоит ли хотябы открыть книжку с надписью
"введение в математический анализ 11 класс"?! Этоже интеграл суммы!!! или формулу для возведения двучлена в куб забыл.


Вот второй это уже лучше. Делай подстановку x=7*sin(t) или x=7*cos(t) дальше надеюсь сообразиш.
 Оффлайн  Профиль  PM 
 К началу страницы 
+ Ответить 

 Ответить  Открыть новую тему 
1 чел. читают эту тему (гостей: 1, скрытых пользователей: 0)
Пользователей: 0

 





- Текстовая версия 22.12.2025 23:30
500Gb HDD, 6Gb RAM, 2 Cores, 7 EUR в месяц — такие хостинги правда бывают
Связь с администрацией: bu_gen в домене octagram.name