1. Заголовок темы должен быть информативным. В противном случае тема удаляется ...
2. Все тексты программ должны помещаться в теги [code=pas] ... [/code], либо быть опубликованы на нашем PasteBin в режиме вечного хранения.
3. Прежде чем задавать вопрос, см. "FAQ", если там не нашли ответа, воспользуйтесь ПОИСКОМ, возможно такую задачу уже решали!
4. Не предлагайте свои решения на других языках, кроме Паскаля (исключение - только с согласия модератора).
5. НЕ используйте форум для личного общения, все что не относится к обсуждению темы - на PM!
6. Одна тема - один вопрос (задача)
7. Проверяйте программы перед тем, как разместить их на форуме!!!
8. Спрашивайте и отвечайте четко и по существу!!!
| nany |
Сообщение
#21
|
|
Новичок ![]() Группа: Пользователи Сообщений: 21 Пол: Женский Репутация: 0 |
Клиенты поступают в магазин через интервал t, t -> W. Далее в течение времени tо они (клиенты) готовят заказ: tо -> G. Клиентов обслуживает 4 продавца, обслуживание 3-х фазное:
- подготовительное время (tn), tn -> R; - время подбора товаров по заявке (tp) (зависит от размера заказа); - время выдачи заказа (tb), tb -> P. Размер заказа m является дискретной случайной величиной, заданной таблично; tp=m*t1, t1 -> U. ( W - распределение Вейбула, G- гамма - распределение, R - равномерное распределение, P - показательное распределение, U - U-распределение.) Может кто нибудь подсказать хотя бы в каком направлении идти. Как правильно нужно создать алгоритм данной задачи? |
nany Моделирование СМО 23.01.2007 1:14
volvo Здесь: моделирование работы банка
похожее задание … 23.01.2007 1:17
nany А как в паскале написать календарь событий состоит… 23.01.2007 1:51
volvo Точно так же, как и в банке при трех кассирах... О… 23.01.2007 2:24
nany А как в паскале написать календарь событий состоит… 23.01.2007 17:17
volvo Ты программу, ссылку на которую я тебе дал, смотре… 23.01.2007 17:40
nany просто у меня по заданию дальше идет открытие мага… 23.01.2007 17:46
nany Помнишь ты мне давал ссылку на задачу моделировани… 29.01.2007 23:04
volvo Ну, вот так, например:
Добавлено через 25 сек.
… 29.01.2007 23:40
nany Спасибо тебе большое за помощь)))) 30.01.2007 17:41
nany Извини, пожалуйста.
У меня почему то сортировка не… 2.02.2007 2:59
volvo Во-первых, как именно это связано с "Моделиро… 2.02.2007 3:18
nany for k:=1 to n-1 do
if a[k] > a[k+1] then
-… 2.02.2007 12:17
nany подскажите пожалуйста как можно придумать, если ид… 3.02.2007 19:27
volvo Не сортировать сами элементы, а воспользоваться со… 3.02.2007 19:33
nany я не могу найти по поиску 3.02.2007 20:45
volvo Ты про это:
const
n = 4;
a: array[1 .. n] of … 3.02.2007 22:17
nany Да я про это, спасибо тебе большое -:))) 4.02.2007 0:35
nany Извини, а как числа в массиве возводить в степень,… 6.02.2007 17:50
volvo Ты точнее можешь выражаться? Какие числа, в каком … 6.02.2007 18:10
nany извини, каждый элемент массива. например:
массив
0… 6.02.2007 18:15
volvo FAQ: Общие вопросы по математике. - второй (станда… 6.02.2007 20:21
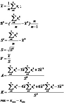
nany Коэффициент эксцесса
REkscess:=0;
for i:=0 to IAr… 6.02.2007 23:33
volvo Никаких предаоложений делать не могу - в стандартн… 7.02.2007 0:41![]() ![]() |
|
Текстовая версия | 18.02.2026 21:54 |