1. вычислить площадь фигуры, ограниченной линиями, заданными в полярных координатах:
r = 5/2sinx
r=3/2sinx
пределы у меня получились от 0 до pi, а ответ 2pi
проверьте, это правильный ответ?
2. вычислить площадь фигуры, ограниченной линиями, заданными параметрически.
x = 2^1/2 * cost
y = 4*(2)^1/2 * sint
y = 4, (y >= 4)
чтобы найти пределы интегрирования решала уравнение: 4=4*(2)^1/2 * sint
t = (-1)^k*pi/4 + pi*k, но так и не поняла, какие пределы нужно брать....
3. вычислить объём тела, полученного вращением фигуры
х = 3^1/2 * cost
y = 2 * sint
вокруг оси оу
какие здесь пределы интегрирования?
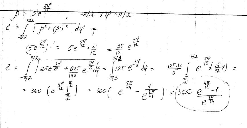
4. вычислить длину дуги кривой, заданной в полярной системе координат:
p = 5 * (e)^5x/12, -pi/2 <= x <= pi/2
меня смущает ответ, который у меня получился....













