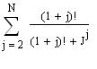
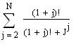
при J:= от 2 до N (N>2) ------ это условие подразумевает что в проге вводится значение N, и перебирая поочереди значения от 2 до N вычисляется значение J^J при каждом значение J... а потом суммировать надо...
но мне надо узнать алгоритм самого вычесления выражения J^J
что б мог считать при любом значение >2
J^J:=?
помогите кто может с алгоритмом
P.S. заранее благодарен=)
Сообщение отредактировано: pirozho4ek -















