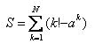
Даны натуральное число N и вещественное a. Вычислить
N (N над значком суммы)
S=∑ (k!- a^k) Не получается у меня правильно написать формулу
k=1 (k=1 под значком суммы)
Реализовать заданное выражение в виде функции.
Произвести табулирование полученной функции по двум переменным.
Var j,a,f,d,n,k,a1,a2,n1,i,e:integer;
res,y:real;
function summ(n,a:integer):real;
var
k,i:integer;
s:real;
Begin
s:=0;
k:=1;
for k:=1 to n do
begin
k:=k*i;
y:=Exp(k*ln(a));
s:=s+(k-y);
end;
summ:=s;
End;
Begin
writeln('n=');
read (n);
writeln ('a=');
read(n1);
writeln('shag n=');
read(f);
writeln('shag a=');
read(a1);
writeln('kolichestvo n=');
read(d);
writeln ('kolichestvo a=');
read(a2);
e:=a;
for k:=1 to d do
begin
a:=e;
for j:=1 to a2 do
begin
res:=summ(n,a);
writeln(n,' ',a,' ',res);
a:=a+a1;
end;
n:=n+f;
end;
End.
Сообщение отредактировано: Василяй -











