рис1
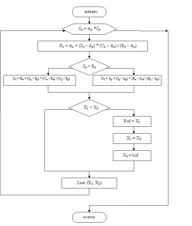
Из рисунка1 следует, что изображение треугольника на экране – это набор горизонтальных отрезков оси абсцисс, при чем каждой строке экрана соответствует один отрезок, проведенный между точками пересечения отрезков со сторонами треугольника AB и AC, затем BC и AC.
Составим математическую модель. Координаты точек пересечения отрезков со сторонами треугольника будут рассчитываться по следующим формулам:
X = Ax + (Bx – Ax) / (By – Ay) * (By – Ay)
X2 (1) = Ay + (Sy – Ay) / (Bx – Ax) / (By – Ay)
X1 = Ax + (Sy – Ay) * (Cx – Ax) / (By – Ay)
X2 (2) = Bx + (Sy – By) * (Cx – Bx) / (Cy – By)
Далее приведем словесное описание алгоритма будущей программы.
рис2
После проведения сортировки координат вершин данного треугольника необходимо организовать цикл, обеспечивающий рисование линий для ординаты Y, которая изменяется от Ymin до Ymax. В теле цикла необходимо определить координаты точек X1 и X2 и затем провести между ними линию заданного цвета.
Сообщение отредактировано: Pautina -















