Здраствуйте! Вот при программировании этого метода возник след вопрос)
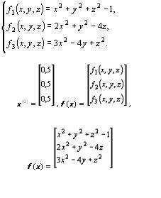
Каков размер должна иметь матрица описывающая симтему уравнений содержащих n неизвестных, например для 2ух неизвестных примером уравнения может быть x*x +3y*y+z+1=0, 2x*x+y+z+z=0, исключая возможность таких слогаемых как 3*x*y...
Просто в задании мне изначально не указано количество переменных(
Как быть?(
Как я понимаю количество уравнений должно быть равно количеству переменных или я не прав?
Или количеству слагаемых (для 2 переменных - 5, для 3 - 7 )?
Проблемы возникают у меня про нахождении опредилителя ..... не знаю его порядок
Сообщение отредактировано: Scorp_Freeman -













