IPB
ЛогинПароль:

> Прочтите прежде чем задавать вопрос!

1. Заголовок темы должен быть информативным. В противном случае тема удаляется ...
2. Все тексты программ должны помещаться в теги [code=pas] ... [/code], либо быть опубликованы на нашем PasteBin в режиме вечного хранения.
3. Прежде чем задавать вопрос, см. "FAQ", если там не нашли ответа, воспользуйтесь ПОИСКОМ, возможно такую задачу уже решали!
4. Не предлагайте свои решения на других языках, кроме Паскаля (исключение - только с согласия модератора).
5. НЕ используйте форум для личного общения, все что не относится к обсуждению темы - на PM!
6. Одна тема - один вопрос (задача)
7. Проверяйте программы перед тем, как разместить их на форуме!!!
8. Спрашивайте и отвечайте четко и по существу!!!

 
 Ответить  Открыть новую тему 
> вывод Значения функции с помощью ряда Тейлора, имеются примеры решения, не могу сообразить
сообщение
Сообщение #1





Группа: Пользователи
Сообщений: 6
Пол: Мужской

Репутация: -  0  +


Здравствуйте. Очень нужно решить задачку мне через 2 дня сдавать ее, а решить не получается

Задание на циклы

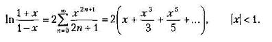
Вычислить и вывести на экран в виде таблицы значения функции, заданной с помощью ряда Тейлора, на интервале от хнач до хкон с шагом dx с точностью е. Таблицу снабдить заголовком и шапкой. Каждая строка таблицы должна содержать значение аргумента, значение функции и количество просуммированных членов ряда.


Вот ссылки:
http://sources.ru/wiki/doku.php?id=pascal:limit_calculation
http://forum.sources.ru/index.php?showtopic=100241


Эскизы прикрепленных изображений
Прикрепленное изображение
 Оффлайн  Профиль  PM 
 К началу страницы 
+ Ответить 
сообщение
Сообщение #2


Гость






Гуру, очень прошу помощи, плиз люди добрые помогите решить((
 К началу страницы 
+ Ответить 
сообщение
Сообщение #3


Профи
****

Группа: Пользователи
Сообщений: 865
Пол: Мужской
Реальное имя: Вячеслав

Репутация: -  20  +


А в чем именно затруднение?? Ты сам привел ссылки, в которых уже все решено
 Оффлайн  Профиль  PM 
 К началу страницы 
+ Ответить 
сообщение
Сообщение #4





Группа: Пользователи
Сообщений: 6
Пол: Мужской

Репутация: -  0  +


Да ссылки привел, но никак не могу подогнать под свое задание(( unsure.gif
Вот тут есть решение:
Ряд Тейлора

Вот код переделанный для моей функции:

program Project1;

var n:integer;
x1,x2,dx:integer;
e,y,z: real;
begin
writeln('vvedite x1,x2, dx');
readln(x1,x2,dx);
if abs(x1)<1 then writeln('Error') else
begin
e:=0.01;
repeat
n:=0;
z:=0;
y:=ln((1+x1)/(1-x1));
while abs(y-z)>e do begin

z:=z+2*(exp((2*n+1)*ln(x1))/(2*n+1));
n:=n+1;
end;
z:=z*2;
writeln;
writeln('pri x=',x1:2:3,'y=',y:2:3,'z=',z:2:3);
x1:=x1+dx;
until


x1>=x2;
end;
readln;
end.



Я переделал его немножко но только выходит ошибка после того, как я запустил компиляцию и ввел данные:

Error 207: Invalid floating point operation.

Как ее исправить? Почему переполняется разрядная сетка?
Я так думаю что-то с циклом(( Народ очень прошу помощи wink.gif
 Оффлайн  Профиль  PM 
 К началу страницы 
+ Ответить 
сообщение
Сообщение #5


Гость






Цитата
выходит ошибка после того, как я запустил компиляцию и ввел данные:
Ну, это смотря какие данные ты ввел... Можно же ввести X1 = 1, и у тебя будет деление на 0, а можно ввести такие данные, что под Ln будет отрицательное число, что недопустимо, и тогда будет Error 207...
 К началу страницы 
+ Ответить 
сообщение
Сообщение #6





Группа: Пользователи
Сообщений: 6
Пол: Мужской

Репутация: -  0  +


Всем спасибо за ответы, решил ее все таки)) Вот отсюда исходник переделал))
Задачка на разложение в ряд Тейлора
 Оффлайн  Профиль  PM 
 К началу страницы 
+ Ответить 

 Ответить  Открыть новую тему 
1 чел. читают эту тему (гостей: 1, скрытых пользователей: 0)
Пользователей: 0

 





- Текстовая версия 4.11.2025 8:59
500Gb HDD, 6Gb RAM, 2 Cores, 7 EUR в месяц — такие хостинги правда бывают
Связь с администрацией: bu_gen в домене octagram.name