IPB
ЛогинПароль:

> Компиляция правил для данного раздела

1. Заголовок темы должен быть информативным. В противном случае тема закрывается и удаляется ...
2. НЕ используйте форум для личного общения, все что не относится к обсуждению темы - на PM!
3. Одна тема - один вопрос (задача)
4. Спрашивайте и отвечайте четко и по существу!!!

> Ряды..., Задачи на ряды Фурье и не только
сообщение
Сообщение #1


Пионер
**

Группа: Пользователи
Сообщений: 86
Пол: Мужской

Репутация: -  0  +


Помогите пожалуйста с задачами.
Они, наверное, элементарные. Но так как я в рядах не соображаю, вот

1)Найти область сходимости ряда {на рис.}


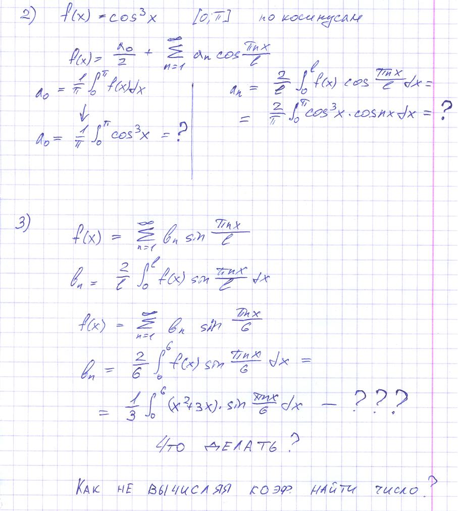
2)Разложить функцию f(x)=cos^3(x) в ряд Фурье на [0;3,14...] по косинусам
----------3,14...- число "Пи" разумеется-----------------

3)Не вычисляя коэффициентов, определите к какому числу сходится при x=11 ряд
Фурье функции f(x)=x^2+3x, разложенной на отрезке [0;6]


Добавлено через 2 мин.
Я попытаюсь что-нибудь сделать.
Вы пишите пожалуйста.


Эскизы прикрепленных изображений
Прикрепленное изображение
 Оффлайн  Профиль  PM 
 К началу страницы 
+ Ответить 
2 страниц V  1 2 >  
 Ответить  Открыть новую тему 
Ответов(1 - 19)
сообщение
Сообщение #2


просто человек
******

Группа: Пользователи
Сообщений: 3 641
Пол: Женский
Реальное имя: Юлия

Репутация: -  55  +


1) Находишь радиус сходимости:
R=lim(n->inf) 1/корень n-ной степени из (3^n-1)=1/3
то есть интервал сходимости (-1/3;1/3)
осталось проверить сходимость на концах интервала (то есть подставить вместо х -1/3, а потом 1/3 и рассмотреть обычный числовой ряд)
вроде как даже необходимый признак сходимости не выполняется....

2) тут по формулам просто...



--------------------
Все содержимое данного сообщения (кроме цитат) является моим личным скромным мнением и на статус истины в высшей инстанции не претендует.
На вопросы по программированию, физике, математике и т.д. в аське и личке не отвечаю. Даже "один-единственный раз" в виде исключения!
 Оффлайн  Профиль  PM 
 К началу страницы 
+ Ответить 
сообщение
Сообщение #3


Пионер
**

Группа: Пользователи
Сообщений: 86
Пол: Мужской

Репутация: -  0  +


Спасибо.
А по каким формулам?
У меня просто сейчас даже учебника нет.
А в лекциях что-то не нахожу...
Эта леция есть, а примеров нет.
 Оффлайн  Профиль  PM 
 К началу страницы 
+ Ответить 
сообщение
Сообщение #4


Пионер
**

Группа: Пользователи
Сообщений: 86
Пол: Мужской

Репутация: -  0  +


А насчёт 3-го?
Не знаешь или тоже просто по ф-лам?

 Оффлайн  Профиль  PM 
 К началу страницы 
+ Ответить 
сообщение
Сообщение #5


Пионер
**

Группа: Пользователи
Сообщений: 86
Пол: Мужской

Репутация: -  0  +


Может ссылку хоть какую дадите, где понятно описано как решать.
А то запарился искать. Спасайте...

ЗДЕСЬ немного исправил

3)Не вычисляя коэффициентов, определите к какому числу сходится при x=11 ряд
Фурье функции f(x)=x^2+3x, разложенной на отрезке [0;6] ПО СИНУСАМ


Сообщение отредактировано: striker -
 Оффлайн  Профиль  PM 
 К началу страницы 
+ Ответить 
сообщение
Сообщение #6


Пионер
**

Группа: Пользователи
Сообщений: 86
Пол: Мужской

Репутация: -  0  +


Очень стыдно. Забыл как решать интегралы...
Я вот нашел формулы для 2 и 3 задач,подставил.
Посмотрите правильно ли, помогите доделать, пожалуйста.
Я так понимаю 3-ая задача - самая сложная. Я так и не понял как её решить.

мисс_граффити, а в 1 задании можно как-нибудь найти предел изначального выражения
под суммой? Ведь как я знаю необходимое условие сходимости, когда предел =0.


Эскизы прикрепленных изображений
Прикрепленное изображение
 Оффлайн  Профиль  PM 
 К началу страницы 
+ Ответить 
сообщение
Сообщение #7


просто человек
******

Группа: Пользователи
Сообщений: 3 641
Пол: Женский
Реальное имя: Юлия

Репутация: -  55  +


предел найти - можно... почему нельзя?

третья - там какое-то свойство ряда Фурье.... когда к чему сходится. я его просто не помню


--------------------
Все содержимое данного сообщения (кроме цитат) является моим личным скромным мнением и на статус истины в высшей инстанции не претендует.
На вопросы по программированию, физике, математике и т.д. в аське и личке не отвечаю. Даже "один-единственный раз" в виде исключения!
 Оффлайн  Профиль  PM 
 К началу страницы 
+ Ответить 
сообщение
Сообщение #8


Пионер
**

Группа: Пользователи
Сообщений: 86
Пол: Мужской

Репутация: -  0  +


1)Так зачем искать радиус сходимости?
Предел будет равен 0 или нет? Если равен=> нет области сходимости?

2)Там, что есть хоть правильно?

3) Может кто знает как делать?

Пожалуйста, если сможете напишите до завтра до 9 утра,
если нет, то хотя бы вообще напишите.
 Оффлайн  Профиль  PM 
 К началу страницы 
+ Ответить 
сообщение
Сообщение #9


просто человек
******

Группа: Пользователи
Сообщений: 3 641
Пол: Женский
Реальное имя: Юлия

Репутация: -  55  +


1) радиус сходимости надо искать, чтобы узнать, при каких х ряд сходится. он при одних будет сходиться, а при других нет...


--------------------
Все содержимое данного сообщения (кроме цитат) является моим личным скромным мнением и на статус истины в высшей инстанции не претендует.
На вопросы по программированию, физике, математике и т.д. в аське и личке не отвечаю. Даже "один-единственный раз" в виде исключения!
 Оффлайн  Профиль  PM 
 К началу страницы 
+ Ответить 
сообщение
Сообщение #10


Пионер
**

Группа: Пользователи
Сообщений: 86
Пол: Мужской

Репутация: -  0  +


Тогда я не понимаю что за необходимый признак не выполняется.
Как ты его проверяешь?
Получается что ряд не сходится?

Объясни пожалуйста.
 Оффлайн  Профиль  PM 
 К началу страницы 
+ Ответить 
сообщение
Сообщение #11


просто человек
******

Группа: Пользователи
Сообщений: 3 641
Пол: Женский
Реальное имя: Юлия

Репутация: -  55  +


при х=1/3... то есть подставь вместо х значение 1/3
после этого именно указанный тобой признак и не выполняется


--------------------
Все содержимое данного сообщения (кроме цитат) является моим личным скромным мнением и на статус истины в высшей инстанции не претендует.
На вопросы по программированию, физике, математике и т.д. в аське и личке не отвечаю. Даже "один-единственный раз" в виде исключения!
 Оффлайн  Профиль  PM 
 К началу страницы 
+ Ответить 
сообщение
Сообщение #12


Пионер
**

Группа: Пользователи
Сообщений: 86
Пол: Мужской

Репутация: -  0  +


В ответе (-1/3;1/3)
Если признак не выполняется при -1/3 и при 1/3 значит они не включаются в ответ?
Или вообще ряд не сходится.
Почему тогда есть область сходимости?
 Оффлайн  Профиль  PM 
 К началу страницы 
+ Ответить 
сообщение
Сообщение #13


Пионер
**

Группа: Пользователи
Сообщений: 86
Пол: Мужской

Репутация: -  0  +


А, да когда подставляем 1/3 получается 1?
Тогда необходимы ещё исследования?

Я нашел пример, где предел находится как отнош An+1 к An,
то есть (3^(n+1)-1)x^(n+1) к исходному.
Чем отличается?
Вообще уже в голове каша. Помоги решить. В итоге то что сходится аль нет?
 Оффлайн  Профиль  PM 
 К началу страницы 
+ Ответить 
сообщение
Сообщение #14


Пионер
**

Группа: Пользователи
Сообщений: 132
Пол: Женский
Реальное имя: Юлия

Репутация: -  0  +


Правильно, что в ответе (-1/3;1/3).
При х=1/3 ряд расходится. Значит, 1/3 не включаем в промежуток сходимости ряда.
При х=-1/3 ряд тоже расходится. Значит -1/3 тоже не включаем.
(Чтобы узнать, что эти ряды расходятся нужно просто проверить их на сходимость. Использовав достаточное условие сходимости ряда. Лимит от n-нного члена не должен быть равным 0.)
 Оффлайн  Профиль  PM 
 К началу страницы 
+ Ответить 
сообщение
Сообщение #15


просто человек
******

Группа: Пользователи
Сообщений: 3 641
Пол: Женский
Реальное имя: Юлия

Репутация: -  55  +


Цитата
Лимит от n-нного члена не должен быть равным 0

как это не должен?
это необходимое условие сходимости.

striker, смотри.
ряды бывают числовые и функциональные.
числовые - это когда, например, сумма по n от 0 до бесконечности 1/n. ну или может быть какая угодно формула - главное, что там ТОЛЬКО переменная суммирования (n)
Если кроме n появляется х - это функциональный ряд.
При одних х он сходится, при других - расходится. "Найти интервал сходимости" - значит, найти такие х, при которых он сходится.
Для этого мы:
1) находим радиус сходимости. если у нас ряд вида (какая-нибудь фигня от n)*x^n, то он будет сходиться на интервале (-R,R) точно.
2) проверяем, сходится ли ряд, если вместо х подставить R... и -R...
то есть интервал сходимости может иметь вид
(-R,R)
[-R,R)
[-R,R]


--------------------
Все содержимое данного сообщения (кроме цитат) является моим личным скромным мнением и на статус истины в высшей инстанции не претендует.
На вопросы по программированию, физике, математике и т.д. в аське и личке не отвечаю. Даже "один-единственный раз" в виде исключения!
 Оффлайн  Профиль  PM 
 К началу страницы 
+ Ответить 
сообщение
Сообщение #16


Пионер
**

Группа: Пользователи
Сообщений: 86
Пол: Мужской

Репутация: -  0  +


Спасибо, сейчас переварю.
 Оффлайн  Профиль  PM 
 К началу страницы 
+ Ответить 
сообщение
Сообщение #17


Пионер
**

Группа: Пользователи
Сообщений: 132
Пол: Женский
Реальное имя: Юлия

Репутация: -  0  +


Цитата
как это не должен?
это необходимое условие сходимости.

Я имела ввиду, что если это условие не выполняется, то ряд расходится.
 Оффлайн  Профиль  PM 
 К началу страницы 
+ Ответить 
сообщение
Сообщение #18


Пионер
**

Группа: Пользователи
Сообщений: 86
Пол: Мужской

Репутация: -  0  +


Сдал - мне не засчитали. Каким-то другим надо было способом считать
Не понимаю почему этим нельзя...
 Оффлайн  Профиль  PM 
 К началу страницы 
+ Ответить 
сообщение
Сообщение #19


просто человек
******

Группа: Пользователи
Сообщений: 3 641
Пол: Женский
Реальное имя: Юлия

Репутация: -  55  +


ты бы показал, КАКИМ способом ты в итоге посчитал.
а ПОЧЕМУ нельзя - надо спрашивать у препода. может, вы не проходили. может, в задании оговорено было. может, он сам говорил, каким хотел бы, чтобы было решено. может, в лекциях или практике был аналогичный пример. может, ты не смог объяснить, что и как считал...


--------------------
Все содержимое данного сообщения (кроме цитат) является моим личным скромным мнением и на статус истины в высшей инстанции не претендует.
На вопросы по программированию, физике, математике и т.д. в аське и личке не отвечаю. Даже "один-единственный раз" в виде исключения!
 Оффлайн  Профиль  PM 
 К началу страницы 
+ Ответить 
сообщение
Сообщение #20


Гость






Cialis Super Active
 К началу страницы 
+ Ответить 

2 страниц V  1 2 >
 Ответить  Открыть новую тему 
1 чел. читают эту тему (гостей: 1, скрытых пользователей: 0)
Пользователей: 0

 





- Текстовая версия 13.12.2025 12:35
500Gb HDD, 6Gb RAM, 2 Cores, 7 EUR в месяц — такие хостинги правда бывают
Связь с администрацией: bu_gen в домене octagram.name