IPB
ЛогинПароль:

> Прочтите прежде чем задавать вопрос!

1. Заголовок темы должен быть информативным. В противном случае тема удаляется ...
2. Все тексты программ должны помещаться в теги [code=pas] ... [/code], либо быть опубликованы на нашем PasteBin в режиме вечного хранения.
3. Прежде чем задавать вопрос, см. "FAQ", если там не нашли ответа, воспользуйтесь ПОИСКОМ, возможно такую задачу уже решали!
4. Не предлагайте свои решения на других языках, кроме Паскаля (исключение - только с согласия модератора).
5. НЕ используйте форум для личного общения, все что не относится к обсуждению темы - на PM!
6. Одна тема - один вопрос (задача)
7. Проверяйте программы перед тем, как разместить их на форуме!!!
8. Спрашивайте и отвечайте четко и по существу!!!

> прошу помощи!, Найти наименьший номер члена последовательности
сообщение
Сообщение #1





Группа: Пользователи
Сообщений: 3
Пол: Мужской
Реальное имя: Артем

Репутация: -  0  +


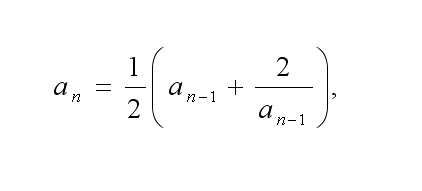
Даны числовой ряд и некоторое число ε. Найти наименьший номер члена последовательности, для которого выполняется условие M. Вывести на экран этот номер и все лементы ai , где I = 1, 2, … , n.

Прикрепленное изображение

, a1 = 1, a2 = 2.
 Оффлайн  Профиль  PM 
 К началу страницы 
+ Ответить 
 
 Ответить  Открыть новую тему 
Ответов(1 - 3)
сообщение
Сообщение #2


Гуру
*****

Группа: Пользователи
Сообщений: 1 220
Пол: Мужской

Репутация: -  16  +


Цитата
выполняется условие M

А какое условие-то? Сумма ряда меньше М или еще что-то?
 Оффлайн  Профиль  PM 
 К началу страницы 
+ Ответить 
сообщение
Сообщение #3





Группа: Пользователи
Сообщений: 3
Пол: Мужской
Реальное имя: Артем

Репутация: -  0  +


Цитата(Ozzя @ 4.06.2009 14:46) *

А какое условие-то? Сумма ряда меньше М или еще что-то?

про условие ничего не сказано...
 Оффлайн  Профиль  PM 
 К началу страницы 
+ Ответить 
сообщение
Сообщение #4


Гуру
*****

Группа: Пользователи
Сообщений: 1 220
Пол: Мужской

Репутация: -  16  +


Тогда можно здесь гадать долго и непродуктивно. Очередной ли член последовательности меньше/больше/равен ε, либо сумма оной? Выясняйте подробности у преподавателя.
 Оффлайн  Профиль  PM 
 К началу страницы 
+ Ответить 

 Ответить  Открыть новую тему 
1 чел. читают эту тему (гостей: 1, скрытых пользователей: 0)
Пользователей: 0

 





- Текстовая версия 5.11.2025 5:13
500Gb HDD, 6Gb RAM, 2 Cores, 7 EUR в месяц — такие хостинги правда бывают
Связь с администрацией: bu_gen в домене octagram.name