IPB
ЛогинПароль:

> Прочтите прежде чем задавать вопрос!

1. Заголовок темы должен быть информативным. В противном случае тема удаляется ...
2. Все тексты программ должны помещаться в теги [code=pas] ... [/code], либо быть опубликованы на нашем PasteBin в режиме вечного хранения.
3. Прежде чем задавать вопрос, см. "FAQ", если там не нашли ответа, воспользуйтесь ПОИСКОМ, возможно такую задачу уже решали!
4. Не предлагайте свои решения на других языках, кроме Паскаля (исключение - только с согласия модератора).
5. НЕ используйте форум для личного общения, все что не относится к обсуждению темы - на PM!
6. Одна тема - один вопрос (задача)
7. Проверяйте программы перед тем, как разместить их на форуме!!!
8. Спрашивайте и отвечайте четко и по существу!!!

 
 Ответить  Открыть новую тему 
> Схема Горнера
сообщение
Сообщение #1





Группа: Пользователи
Сообщений: 1
Пол: Мужской
Реальное имя: sasha
Jabber: нету
Skype: нету
Turbo Pascal: Установлен
Pascal ABC: Установлен

Репутация: -  0  +


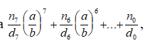
Данные целые числа n0, d0, n1, d1, ..., n7, d7, a, b (d0 d1 ... d7b0)
Вычислить по схеме Горнера Прикрепленное изображение определив процедуры полного сокращения рационального числа, которое задано числителем и знаменателем, а также процедуры сложения и умножения рациональных чисел.
прошу помогите 3 сутки не сплю


Эскизы прикрепленных изображений
Прикрепленное изображение
 Оффлайн  Профиль  PM 
 К началу страницы 
+ Ответить 

 Ответить  Открыть новую тему 
1 чел. читают эту тему (гостей: 1, скрытых пользователей: 0)
Пользователей: 0

 





- Текстовая версия 2.04.2026 22:51
500Gb HDD, 6Gb RAM, 2 Cores, 7 EUR в месяц — такие хостинги правда бывают
Связь с администрацией: bu_gen в домене octagram.name