IPB
ЛогинПароль:

> Прочтите прежде чем задавать вопрос!

1. Заголовок темы должен быть информативным. В противном случае тема удаляется ...
2. Все тексты программ должны помещаться в теги [code=pas] ... [/code], либо быть опубликованы на нашем PasteBin в режиме вечного хранения.
3. Прежде чем задавать вопрос, см. "FAQ", если там не нашли ответа, воспользуйтесь ПОИСКОМ, возможно такую задачу уже решали!
4. Не предлагайте свои решения на других языках, кроме Паскаля (исключение - только с согласия модератора).
5. НЕ используйте форум для личного общения, все что не относится к обсуждению темы - на PM!
6. Одна тема - один вопрос (задача)
7. Проверяйте программы перед тем, как разместить их на форуме!!!
8. Спрашивайте и отвечайте четко и по существу!!!

> Задача на произведение.
сообщение
Сообщение #1


Новичок
*

Группа: Пользователи
Сообщений: 10
Пол: Мужской

Репутация: -  0  +


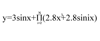
Братцы, наверное многих уже достал своими проблемами, но завтра они в любом случае у меня закончатся: либо сдам долги по лабам, либо нет...Вот ещё задачка....

Исходные данные:
X=0.38
N=9

Сообщение отредактировано: Troy -


Эскизы прикрепленных изображений
Прикрепленное изображение
 Оффлайн  Профиль  PM 
 К началу страницы 
+ Ответить 
 
 Ответить  Открыть новую тему 
Ответов(1 - 1)
сообщение
Сообщение #2


Perl. Just code it!
******

Группа: Пользователи
Сообщений: 4 100
Пол: Мужской
Реальное имя: Андрей

Репутация: -  44  +


Вроде так :
Код
uses crt;
var p,x,y:extended;
     i,n:integer;
Begin
    readln(n);
    readln(x);
    p:=1;
    for i:=2 to n do
     p:=p*(2.8*(exp(3*ln(x)))+2.8*sin(i*x));
    y:=3*sin(x)+p;
    writeln('y=',y:2:3);
    readln;
end.


Сообщение отредактировано: klem4 -


--------------------
perl -e 'print for (map{chr(hex)}("4861707079204E6577205965617221"=~/(.{2})/g)), "\n";'
 Оффлайн  Профиль  PM 
 К началу страницы 
+ Ответить 

 Ответить  Открыть новую тему 
1 чел. читают эту тему (гостей: 1, скрытых пользователей: 0)
Пользователей: 0

 





- Текстовая версия 20.12.2025 22:27
500Gb HDD, 6Gb RAM, 2 Cores, 7 EUR в месяц — такие хостинги правда бывают
Связь с администрацией: bu_gen в домене octagram.name