IPB
ЛогинПароль:

> Компиляция правил для данного раздела

1. Заголовок темы должен быть информативным. В противном случае тема закрывается и удаляется ...
2. НЕ используйте форум для личного общения, все что не относится к обсуждению темы - на PM!
3. Одна тема - один вопрос (задача)
4. Спрашивайте и отвечайте четко и по существу!!!

 
 Ответить  Открыть новую тему 
> Суммирование последовательностей
сообщение
Сообщение #1


Новичок
*

Группа: Пользователи
Сообщений: 26
Пол: Мужской

Репутация: -  0  +


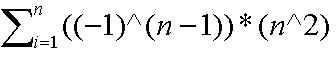
Составить формулу для вычисления последовательности:
задание я присоединил к сообщению!


Прикрепленные файлы
Прикрепленный файл  Sn.doc ( 19.5 килобайт ) Кол-во скачиваний: 368
 Оффлайн  Профиль  PM 
 К началу страницы 
+ Ответить 
сообщение
Сообщение #2


Ищущий истину
******

Группа: Пользователи
Сообщений: 4 825
Пол: Мужской
Реальное имя: Олег

Репутация: -  45  +


Цитата
Составить формулу для вычисления последовательности:

ну вот:
может на паскале имееться ввиду?


Эскизы прикрепленных изображений
Прикрепленное изображение

--------------------
Помогая друг другу, мы справимся с любыми трудностями!
"Не опускать крылья!" (С)
 Оффлайн  Профиль  PM 
 К началу страницы 
+ Ответить 
сообщение
Сообщение #3


Perl. Just code it!
******

Группа: Пользователи
Сообщений: 4 100
Пол: Мужской
Реальное имя: Андрей

Репутация: -  44  +


Она же там и так написана blink.gif ?


--------------------
perl -e 'print for (map{chr(hex)}("4861707079204E6577205965617221"=~/(.{2})/g)), "\n";'
 Оффлайн  Профиль  PM 
 К началу страницы 
+ Ответить 
сообщение
Сообщение #4


Ищущий истину
******

Группа: Пользователи
Сообщений: 4 825
Пол: Мужской
Реальное имя: Олег

Репутация: -  45  +


нет, то, что там написанно не является формулой!


--------------------
Помогая друг другу, мы справимся с любыми трудностями!
"Не опускать крылья!" (С)
 Оффлайн  Профиль  PM 
 К началу страницы 
+ Ответить 
сообщение
Сообщение #5


Perl. Just code it!
******

Группа: Пользователи
Сообщений: 4 100
Пол: Мужской
Реальное имя: Андрей

Репутация: -  44  +


Ну по крайней мере из того что там есть получить формулу не должно составить много труда smile.gif


--------------------
perl -e 'print for (map{chr(hex)}("4861707079204E6577205965617221"=~/(.{2})/g)), "\n";'
 Оффлайн  Профиль  PM 
 К началу страницы 
+ Ответить 
сообщение
Сообщение #6


Ищущий истину
******

Группа: Пользователи
Сообщений: 4 825
Пол: Мужской
Реальное имя: Олег

Репутация: -  45  +


ну я поэтому и удивился. может надо прогармму? но тогда в другой раздел.


--------------------
Помогая друг другу, мы справимся с любыми трудностями!
"Не опускать крылья!" (С)
 Оффлайн  Профиль  PM 
 К началу страницы 
+ Ответить 

 Ответить  Открыть новую тему 
1 чел. читают эту тему (гостей: 1, скрытых пользователей: 0)
Пользователей: 0

 





- Текстовая версия 6.04.2026 4:00
500Gb HDD, 6Gb RAM, 2 Cores, 7 EUR в месяц — такие хостинги правда бывают
Связь с администрацией: bu_gen в домене octagram.name