тут всего 20 интегралов:
http://epr2.stsland.ru/help.jpg
ну или хотябы к-способом решать к-л из них...........
1. Заголовок темы должен быть информативным. В противном случае тема закрывается и удаляется ... 
2. НЕ используйте форум для личного общения, все что не относится к обсуждению темы - на PM!
3. Одна тема - один вопрос (задача)
4. Спрашивайте и отвечайте четко и по существу!!!
| eprsteklmn | 
                        
			
			  
			
				 Сообщение
					#1				
			 
		 | 
	
| 
        	
        		 Новичок ![]() Группа: Пользователи Сообщений: 13 Пол: Мужской Репутация:    0           	 | 
       
			
			 привет! помогите чем сможете: 
			
			
					
		тут всего 20 интегралов: http://epr2.stsland.ru/help.jpg ну или хотябы к-способом решать к-л из них...........  | 
	
 eprsteklmn   Вычисление интегралов   15.05.2005 1:49
 
 NightPaladin   Вот сделала парочку (пока) скоро выполню остальные   15.05.2005 10:08
 
 NightPaladin   Задание №7 , задание №14 и 13   15.05.2005 10:34
 
 eprsteklmn   
спасибо! :thanks:   15.05.2005 16:55
 
 NightPaladin   На здоровье :D 
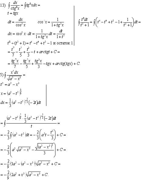
вот №13 и № 5   15.05.2005 21:01
 
 NightPaladin   Задание №6. 
Кста в задании 8 возможна ошибка - пе…   15.05.2005 21:28
 
 eprsteklmn   
е^x*cos^2(x)   15.05.2005 21:57
 
 NightPaladin   
Хм... тогда надо подумать.   16.05.2005 9:35![]() ![]()  | 
	
 
  | 
		Текстовая версия | 4.11.2025 13:23 |