IPB
ЛогинПароль:

> Компиляция правил для данного раздела

1. Заголовок темы должен быть информативным. В противном случае тема закрывается и удаляется ...
2. НЕ используйте форум для личного общения, все что не относится к обсуждению темы - на PM!
3. Одна тема - один вопрос (задача)
4. Спрашивайте и отвечайте четко и по существу!!!

> Пределы, несколько вопросов
сообщение
Сообщение #1


Бывалая
***

Группа: Пользователи
Сообщений: 290
Пол: Женский
Реальное имя: Анютка

Репутация: -  7  +


lim arcsin 3x/2x при х -> 0 ответ будет 3 ? dry.gif

lim 3x^2 + 2x + 1/x^3 - 8 при х -> 2
В знаменателе получается ноль, а в числителе нет. Как это решить? sad.gif

lim sin (x+4)/x^2 - 16 при х -> - 4 ответ 0 ?
 Оффлайн  Профиль  PM 
 К началу страницы 
+ Ответить 
 
 Ответить  Открыть новую тему 
Ответов(1 - 15)
сообщение
Сообщение #2


Знаток
****

Группа: Пользователи
Сообщений: 419
Пол: Мужской

Репутация: -  6  +


во втором 14/4 если не ошибся.
Правило Лопиталя.


--------------------
 Оффлайн  Профиль  PM 
 К началу страницы 
+ Ответить 
сообщение
Сообщение #3


Бывалая
***

Группа: Пользователи
Сообщений: 290
Пол: Женский
Реальное имя: Анютка

Репутация: -  7  +


lim 15 - 13х - 3х^2 + x^3/24 - 10x -3x^2 + x^3 при х -> -3

lim 12x + 5/sqrt 3 степени 27x^3 + 6x^2 +8 при х -> +бесконечности (ответ 0?)

lim (1/4sin^2 x) / (1/sin^2 2x) при х -> 0

Ещё вопросы появились
 Оффлайн  Профиль  PM 
 К началу страницы 
+ Ответить 
сообщение
Сообщение #4


Бывалая
***

Группа: Пользователи
Сообщений: 290
Пол: Женский
Реальное имя: Анютка

Репутация: -  7  +


Цитата
lim 15 - 13х - 3х^2 + x^3/24 - 10x -3x^2 + x^3 при х -> -3

Здесь получилось 32/35
В других пока ничего не выходит.
 Оффлайн  Профиль  PM 
 К началу страницы 
+ Ответить 
сообщение
Сообщение #5


Бывалая
***

Группа: Пользователи
Сообщений: 290
Пол: Женский
Реальное имя: Анютка

Репутация: -  7  +


Цитата
lim 12x + 5/sqrt 3 степени 27x^3 + 6x^2 +8 при х -> +бесконечности (ответ 0?)

Здесь получилось 4


Последний пример, надо решить ... ммм
 Оффлайн  Профиль  PM 
 К началу страницы 
+ Ответить 
сообщение
Сообщение #6


Бывалая
***

Группа: Пользователи
Сообщений: 290
Пол: Женский
Реальное имя: Анютка

Репутация: -  7  +


lim x^3 - 3x + 2/x^4 - 4x + 3 при x->1


И ещё вот предел, поделить числитель на х-1 не удаётся, всё перепробовала ... не получается.

Сообщение отредактировано: Анна -
 Оффлайн  Профиль  PM 
 К началу страницы 
+ Ответить 
сообщение
Сообщение #7


Прогрессор
****

Группа: Пользователи
Сообщений: 602
Пол: Мужской
Реальное имя: Михаил

Репутация: -  9  +


Цитата
lim 3x^2 + 2x + 1/x^3 - 8 при х -> 2
В знаменателе получается ноль, а в числителе нет.
По-любому бесконечность
 Оффлайн  Профиль  PM 
 К началу страницы 
+ Ответить 
сообщение
Сообщение #8


Бывалая
***

Группа: Пользователи
Сообщений: 290
Пол: Женский
Реальное имя: Анютка

Репутация: -  7  +


To: virt angry.gif Огромное спасибо!


To: Atos можно пояснить?
 Оффлайн  Профиль  PM 
 К началу страницы 
+ Ответить 
сообщение
Сообщение #9


Ищущий истину
******

Группа: Пользователи
Сообщений: 4 825
Пол: Мужской
Реальное имя: Олег

Репутация: -  45  +


Цитата
lim 3x^2 + 2x + 1/x^3 - 8 при х -> 2

а ты скобоки не забыла ?
Если нет, то не вижу причин твоему удивлению...


--------------------
Помогая друг другу, мы справимся с любыми трудностями!
"Не опускать крылья!" (С)
 Оффлайн  Профиль  PM 
 К началу страницы 
+ Ответить 
сообщение
Сообщение #10


Бывалая
***

Группа: Пользователи
Сообщений: 290
Пол: Женский
Реальное имя: Анютка

Репутация: -  7  +


Скобки не забыла и вообще, где они могли быть по-твоему? dry.gif
 Оффлайн  Профиль  PM 
 К началу страницы 
+ Ответить 
сообщение
Сообщение #11


Гость






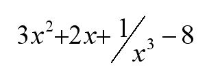
Вообще-то, функция которую ты написала, расценивается как:
Прикрепленное изображение

Или, по-твоему, это не так? dry.gif
 К началу страницы 
+ Ответить 
сообщение
Сообщение #12


Бывалая
***

Группа: Пользователи
Сообщений: 290
Пол: Женский
Реальное имя: Анютка

Репутация: -  7  +


Сорри, вот правильный:

lim (3x^2 + 2x + 1)/(x^3 - 8) при х -> 2

Какой тогда ответ будет?
 Оффлайн  Профиль  PM 
 К началу страницы 
+ Ответить 
сообщение
Сообщение #13


Уникум
*******

Группа: Пользователи
Сообщений: 6 823
Пол: Мужской
Реальное имя: Лопáрь (Андрей)

Репутация: -  159  +


Когда в знаменателе ноль, а в числителе НЕ ноль, то никакой неопределенности не возникает вообще, никаких заумных правил применять не нужно, а задача становится тривиальной. Ответ (как написал уже Атос) - бесконечность, и это естественно, так как постоянный (примерно) числитель делится но все меньшее и меньшее (по модулю) число. Единственное, что тут может быть "интересно" выяснить, так это какой знак имеет эта самая бесконечность. А знак этот меняется, если при стремлении к нулю знаменатель пересекает абсциссу. В этом конкретном случае когда х стремится к 2 слева (х<2), то знаменатель отрицательный, а когда справа (x>2) - положительный. А числитель положителен всегда. Так что при стремлении х к 2 слева получается минус бесконечность, а справа - плюс бесконечность.

Еще раз повторяю: случай, когда числитель отличен от нуля, а знаменатель нулевой - тривиален, как и случай, когда числитель стремится к бесконечности, а знаменатель не ноль. Интересности возникают при НЕОПРЕДЕЛЕННОСТЯХ, которые бывают типа "ноль делить на ноль" или "бесконечность делить но бесконечность". И тогда для того, чтобы узнать предел нужно применять правила Лопиталя..

Сообщение отредактировано: lapp -


--------------------
я - ветер, я северный холодный ветер
я час расставанья, я год возвращенья домой
 Оффлайн  Профиль  PM 
 К началу страницы 
+ Ответить 
сообщение
Сообщение #14


Прогрессор
****

Группа: Пользователи
Сообщений: 602
Пол: Мужской
Реальное имя: Михаил

Репутация: -  9  +


Цитата(lapp)
случай, когда числитель отличен от нуля, а знаменатель нулевой - тривиален, как и случай, когда числитель стремится к бесконечности, а знаменатель не ноль. Интересности возникают при НЕОПРЕДЕЛЕННОСТЯХ, которые бывают типа "ноль делить на ноль" или "бесконечность делить но бесконечность". И тогда для того, чтобы узнать предел нужно применять правила Лопиталя..
Совершенно верно.
По Лопиталю считаются вот эти пределы:
Цитата
lim x^3 - 3x + 2/x^4 - 4x + 3 при x->1
ответ 1/2
Цитата
lim 15 - 13х - 3х^2 + x^3/24 - 10x -3x^2 + x^3 при х -> -3
ответ 32/35


А здесь
Цитата
lim 12x + 5/sqrt 3 степени 27x^3 + 6x^2 +8 при х -> +бесконечности
не 4, а корень третьей степени из 4.
Здесь
Цитата
lim (1/4sin^2 x) / (1/sin^2 2x) при х -> 0
элементарно получаем 1.
 Оффлайн  Профиль  PM 
 К началу страницы 
+ Ответить 
сообщение
Сообщение #15


Бывалая
***

Группа: Пользователи
Сообщений: 290
Пол: Женский
Реальное имя: Анютка

Репутация: -  7  +


To: Atos
Где ж ты раньше был sad.gif
Цитата
не 4, а корень третьей степени из 4.

Уверен?
 Оффлайн  Профиль  PM 
 К началу страницы 
+ Ответить 
сообщение
Сообщение #16


Прогрессор
****

Группа: Пользователи
Сообщений: 602
Пол: Мужской
Реальное имя: Михаил

Репутация: -  9  +


Упс, точно 4 10.gif извиняюсь... степень нечаянно сократил.
Цитата
Где ж ты раньше был
10.gif дело в том, что в инет выхожу из универа, урывками между парами, в разных корпусах... всего 4 дня в неделю... в частности, на выходных точно в инете меня нет sad.gif
 Оффлайн  Профиль  PM 
 К началу страницы 
+ Ответить 

 Ответить  Открыть новую тему 
1 чел. читают эту тему (гостей: 1, скрытых пользователей: 0)
Пользователей: 0

 





- Текстовая версия 21.12.2025 10:15
500Gb HDD, 6Gb RAM, 2 Cores, 7 EUR в месяц — такие хостинги правда бывают
Связь с администрацией: bu_gen в домене octagram.name