IPB
ЛогинПароль:

> 

Начальные контакты ТОЛЬКО через личку!!

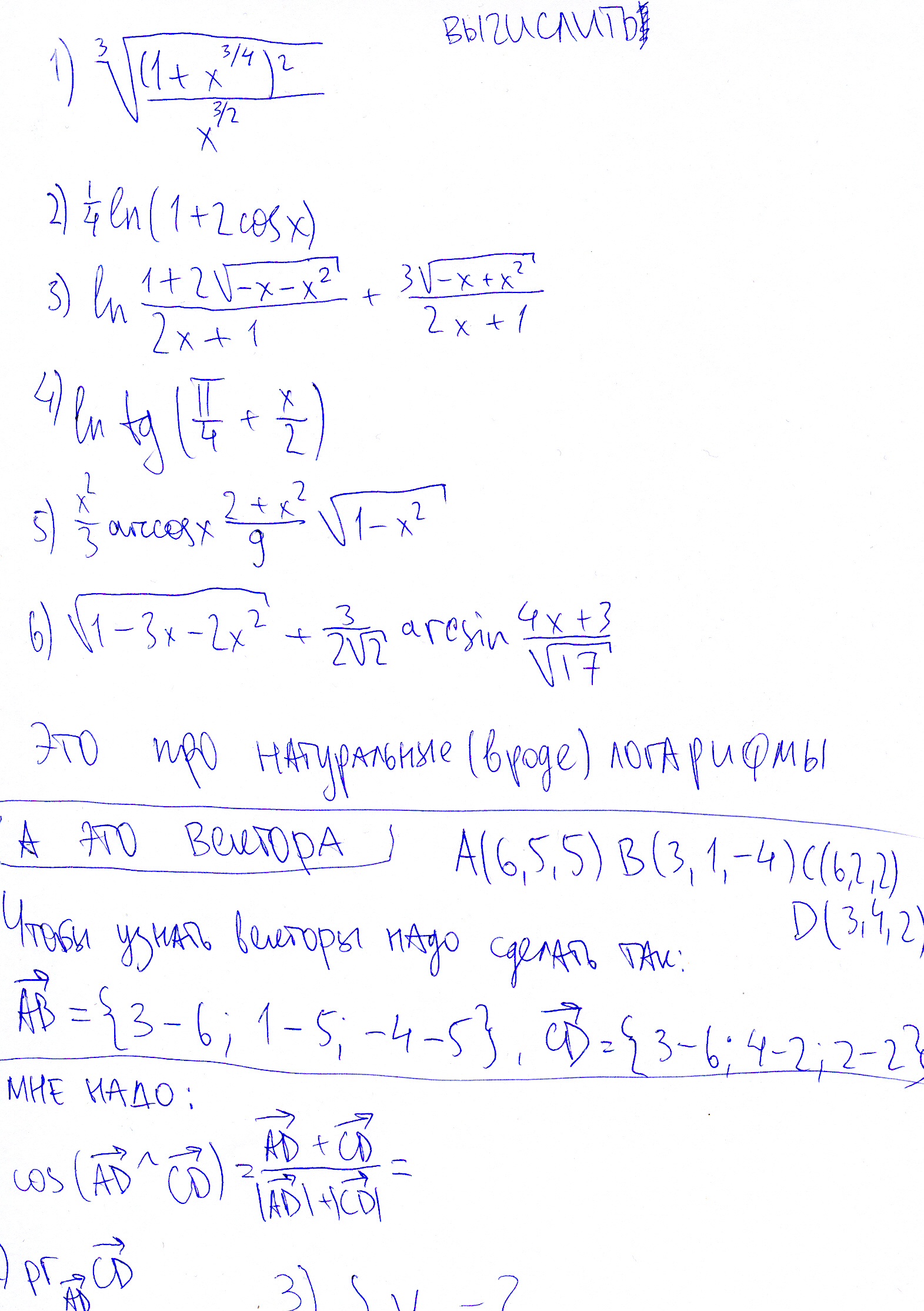
> 6 задач. натуральные логарифмы.просто.200р
сообщение
Сообщение #1





Группа: Пользователи
Сообщений: 2
Пол: Мужской
Реальное имя: Oleg

Репутация: -  0  +


Привет. нужно до завтра 6 задач. оплата при встрече в москве в центре (сегодня вечером - завтра утром). задачи - проще не бывает - лень заново разбираться)
200рэ

прикрепил их.

<вырезано>
это не доска объявлений mad.gif


Сообщение отредактировано: GoodWind -


Эскизы прикрепленных изображений
Прикрепленное изображение
 Оффлайн  Профиль  PM 
 К началу страницы 
+ Ответить 

Сообщений в этой теме


 Ответить  Открыть новую тему 
1 чел. читают эту тему (гостей: 1, скрытых пользователей: 0)
Пользователей: 0

 





- Текстовая версия 5.11.2025 21:21
500Gb HDD, 6Gb RAM, 2 Cores, 7 EUR в месяц — такие хостинги правда бывают
Связь с администрацией: bu_gen в домене octagram.name