Помогите, пожалуйста, с решением данной задачи!
рис1Нажмите для просмотра прикрепленного файла
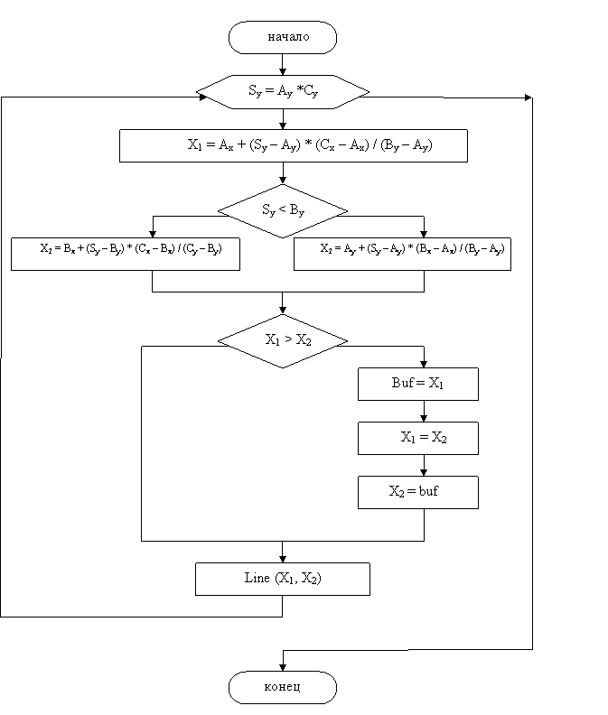
Из рисунка1 следует, что изображение треугольника на экране – это набор горизонтальных отрезков оси абсцисс, при чем каждой строке экрана соответствует один отрезок, проведенный между точками пересечения отрезков со сторонами треугольника AB и AC, затем BC и AC.
Составим математическую модель. Координаты точек пересечения отрезков со сторонами треугольника будут рассчитываться по следующим формулам:
X = Ax + (Bx – Ax) / (By – Ay) * (By – Ay)
X2 (1) = Ay + (Sy – Ay) / (Bx – Ax) / (By – Ay)
X1 = Ax + (Sy – Ay) * (Cx – Ax) / (By – Ay)
X2 (2) = Bx + (Sy – By) * (Cx – Bx) / (Cy – By)
Далее приведем словесное описание алгоритма будущей программы.
рис2Нажмите для просмотра прикрепленного файла
После проведения сортировки координат вершин данного треугольника необходимо организовать цикл, обеспечивающий рисование линий для ординаты Y, которая изменяется от Ymin до Ymax. В теле цикла необходимо определить координаты точек X1 и X2 и затем провести между ними линию заданного цвета.
