Помощь
-
Поиск
-
Пользователи
-
Календарь
Полная версия:
Помогите посчитать ряд...
Форум «Всё о Паскале»
>
Pascal, Object Pascal
>
Задачи
xlr8
20.12.2006 2:04
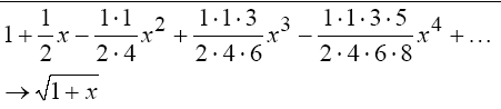
Помогите, очень нужно...
Нажмите для просмотра прикрепленного файла
Нажмите для просмотра прикрепленного файла
мисс_граффити
20.12.2006 2:07
читай FAQ!!!!
стопицот тыщ раз решалось
xlr8
20.12.2006 2:14
Цитата(мисс_граффити @ 19.12.2006 21:07)
читай FAQ!!!!
стопицот тыщ раз решалось
Буду благодарен за ссылочку..Сам не могу найти..
мисс_граффити
20.12.2006 2:15
Общие вопросы по математике.
Это текстовая версия — только основной контент. Для просмотра полной версии этой страницы, пожалуйста,
нажмите сюда
.