Помощь - Поиск - Пользователи - Календарь
Полная версия: Помогите плиз
Форум «Всё о Паскале» > Pascal, Object Pascal > Задачи
lycas
При любых значения переменных выводит одинаковые числа.
Подскажите где ошибка.
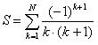
Дано натуральное число N вычислить(+протабулировать):
Нажмите для просмотра прикрепленного файла

Вот что у меня получилось:

var
k, j,d,n:integer;
rs,l, result:real;
function summ(n:integer):real;
var
k,j:integer;
l,s:real;
begin
s:=0;
k:=1;
for j:=1 to n do
begin
if ((k+1) mod 2) =0 then
l:=1/k*(k+1)
else
l:=-1/k*(k+1);
s:=s+l;
end;
result:=s;
end;
begin
writeln('n=');read(n);
if n<1 then begin
writeln('n<1');exit;end;
writeln('shag=');read(k);
if k<1 then begin
writeln ('k<1');
exit;
end;
writeln('kolichestvo=');read(d);
if d<1 then begin
writeln('d<1');exit;end;
for j:=1 to d do
begin
rs:=summ(n);
writeln(j,' ',n,' ',rs);
n:=n+k;
end;
end.

мисс_граффити
естественно.
rs:=summ(n);

а чему summ равно?
у тебя ж только
result:=s;
зачем-то написано. надо
summ:=s
сделать
lycas
Работает.
Огроменное спасибо за помощ.
Это текстовая версия — только основной контент. Для просмотра полной версии этой страницы, пожалуйста, нажмите сюда.