Помощь - Поиск - Пользователи - Календарь
Полная версия: рекурсионная функцию формулы х
Форум «Всё о Паскале» > Pascal, Object Pascal > Задачи
maksimla
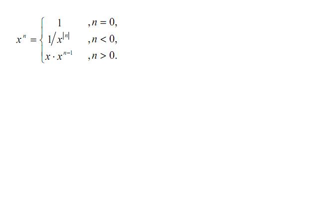
надо написать рекурсионную функцию pow(x, n), находящюю х в n степени по формуле
Нажмите для просмотра прикрепленного файла

здесь х реальное число а n натуральное число

вот написал чтото
function pow (x,n:real):real;
var m:real; i,p:integer;
begin
p:=abs(trunc(n));
if x=0 then pow(1,p);
if x<0 then
begin
m:=x;
for i:= 1 to p-1 do
x:=x*m;
pow(1/x,p)
end;
if x>0 then
begin
m:=x;
for i:= 1 to p-2 do
x:=x*m;
pow(x*x,p)
end;
end;



а может есть чтобы цыкл неписать какбы написать sqr(x)?
и я правильно написал функцию?
volvo
А тебе здесь по определению цикл не надо делать, иначе какая ж это рекурсия? Вот так попробуй:

function pow(x: real; n: integer): real;
begin
if n = 0 then pow := 1
else
if n < 0 then pow := 1 / pow(x, abs(n))
else pow := x * pow(x, n - 1);
end;
, по-моему, должно быть правильно...
maksimla
а как тогда х возводится в степень n можете обеснить
и еще все эти переходы к функции скажите
volvo
Смотри, вот что тут происходит. К примеру, вызываем pow(2, 5).

1. 5 > 0 ==> pow = 2 * pow(2, 4)
2. 4 > 0 ==> pow = 2 * pow(2, 3)
3. 3 > 0 ==> pow = 2 * pow(2, 2)
4. 2 > 0 ==> pow = 2 * pow(2, 1)
5. 1 > 0 ==> pow = 2 * pow(2, 0)
6. 0 = 0 ==> pow = (1)
Теперь раскручиваем все назад: то, что было вычислено на N-ом уровне,
возвращаем на (N-1)-ый (в скобках - результат выполнения, и ниже -
этот же результат используется в вычислении на предыдущем уровне)
pow = 2 * 1 = (2)
pow = 2 * (2) = (4)
pow = 2 * (4) = (8)
pow = 2 * (8) = (16)
pow = 2 * (16) = (32)

Вот тебе и ответ: pow(2, 5) = 32

То же самое делается и при передаче отрицательного числа вторым параметром, только добавляется еще один уровень рекурсии... Попробуй нарисовать такое же дерево для pow(2, -3) самостоятельно...
maksimla
ой, я значит неправильно формулу понял и написал
вот как понял pow(2, -3)

1. -3 < 0 ==> pow := 1 / pow(2, 3)
2. 3> 0 ==> pow = 2 * pow(2, 2)
3. 2> 0 ==> pow = 2 * pow(2, 1)
4. 1> 0 ==> pow = 2 * pow(2, 0)
5. 0 = 0 ==> pow = (1)
pow = 2 * 1 = (2)
pow = 2 * (2) = (4)
pow = 2 * (4) = (8)
volvo
Ты забыл последний шаг: в самом конце
pow = 1 / (8) = 0.125
Это текстовая версия — только основной контент. Для просмотра полной версии этой страницы, пожалуйста, нажмите сюда.