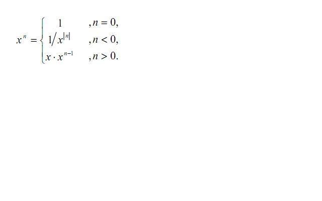
здесь х реальное число а n натуральное число
вот написал чтото
function pow (x,n:real):real;
var m:real; i,p:integer;
begin
p:=abs(trunc(n));
if x=0 then pow(1,p);
if x<0 then
begin
m:=x;
for i:= 1 to p-1 do
x:=x*m;
pow(1/x,p)
end;
if x>0 then
begin
m:=x;
for i:= 1 to p-2 do
x:=x*m;
pow(x*x,p)
end;
end;
а может есть чтобы цыкл неписать какбы написать sqr(x)?
и я правильно написал функцию?

 
 

  
        	






