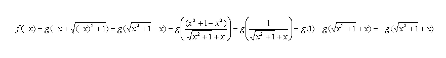
Функция g cуществует только при соблюдения условия x>0
+ она обладает нижеследующим свойством, при соблюдении условия a>0 и b>0:
g(1)=0
g(a/b)=g(a)-g(b)
Стоп, всё это лирическое отступление

Oтлично понимаю, что выражение x+(x2+1)1/2 нужно каким-либо образом свести на a/b. Дело лишь в том, что как бы я не игрался со внутренней частью функции g, все пути будто ведут в ненужному мне g(что-то)-g(1)

Идеи?