IPB
ЛогинПароль:

> Компиляция правил для данного раздела

1. Заголовок темы должен быть информативным. В противном случае тема закрывается и удаляется ...
2. НЕ используйте форум для личного общения, все что не относится к обсуждению темы - на PM!
3. Одна тема - один вопрос (задача)
4. Спрашивайте и отвечайте четко и по существу!!!

 
 Ответить  Открыть новую тему 
> Итеграл. Задание необычное. Нужно очень срочно, Хотя бы подсказку как решать
сообщение
Сообщение #1





Группа: Пользователи
Сообщений: 6
Пол: Женский
Реальное имя: Даша

Репутация: -  0  +


Как найти площадь заштрихованной фигуры, используя понятие определенного интеграла


Эскизы прикрепленных изображений
Прикрепленное изображение
 Оффлайн  Профиль  PM 
 К началу страницы 
+ Ответить 
сообщение
Сообщение #2


Профи
****

Группа: Пользователи
Сообщений: 731
Пол: Женский

Репутация: -  25  +


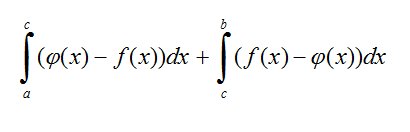
Формула вроде такая будет:
Прикрепленное изображение

Сообщение отредактировано: Айра -
 Оффлайн  Профиль  PM 
 К началу страницы 
+ Ответить 

 Ответить  Открыть новую тему 
1 чел. читают эту тему (гостей: 1, скрытых пользователей: 0)
Пользователей: 0

 





- Текстовая версия 22.12.2025 20:51
500Gb HDD, 6Gb RAM, 2 Cores, 7 EUR в месяц — такие хостинги правда бывают
Связь с администрацией: bu_gen в домене octagram.name