IPB
ЛогинПароль:

> Прочтите прежде чем задавать вопрос!

1. Заголовок темы должен быть информативным. В противном случае тема удаляется ...
2. Все тексты программ должны помещаться в теги [code=pas] ... [/code], либо быть опубликованы на нашем PasteBin в режиме вечного хранения.
3. Прежде чем задавать вопрос, см. "FAQ", если там не нашли ответа, воспользуйтесь ПОИСКОМ, возможно такую задачу уже решали!
4. Не предлагайте свои решения на других языках, кроме Паскаля (исключение - только с согласия модератора).
5. НЕ используйте форум для личного общения, все что не относится к обсуждению темы - на PM!
6. Одна тема - один вопрос (задача)
7. Проверяйте программы перед тем, как разместить их на форуме!!!
8. Спрашивайте и отвечайте четко и по существу!!!

 
 Ответить  Открыть новую тему 
> Метод трапеций, pascal
сообщение
Сообщение #1





Группа: Пользователи
Сообщений: 2
Пол: Мужской

Репутация: -  0  +


Вычеслить определенный интерграл с заданной точностью(задается с клавиатуры) Вывести на экран значение интеграла, кол-во разбиений, значение первообразной. Нарисовать график подинтегральной функции и показать, как происходит разбиение.

Е=0,0001 - точность

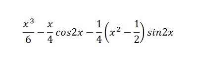
ПервообразнаяПрикрепленное изображение

ИнтегралПрикрепленное изображение
 Оффлайн  Профиль  PM 
 К началу страницы 
+ Ответить 
сообщение
Сообщение #2


Гуру
*****

Группа: Пользователи
Сообщений: 1 220
Пол: Мужской

Репутация: -  16  +


Цитата
Вычеислить определенный интерграл

Ну, так и вычисляй! Кто мешает-то?
Можно наверх страницы взглянуть.

Сообщение отредактировано: Ozzя -
 Оффлайн  Профиль  PM 
 К началу страницы 
+ Ответить 

 Ответить  Открыть новую тему 
1 чел. читают эту тему (гостей: 1, скрытых пользователей: 0)
Пользователей: 0

 





- Текстовая версия 24.04.2026 13:12
500Gb HDD, 6Gb RAM, 2 Cores, 7 EUR в месяц — такие хостинги правда бывают
Связь с администрацией: bu_gen в домене octagram.name