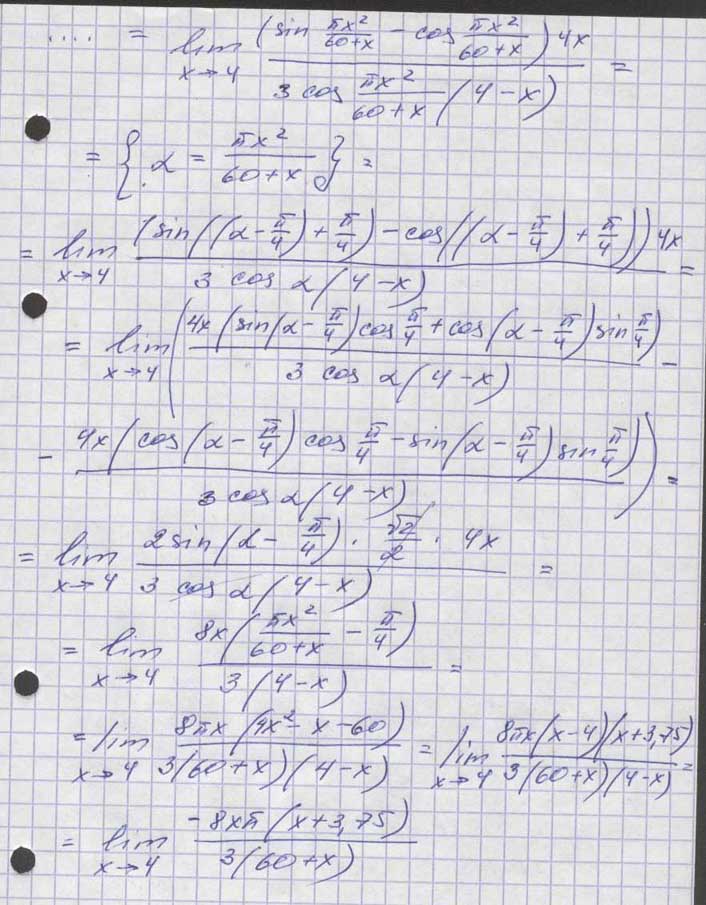
Интересный пример попался на зачете. Правда, я не смог его решить. Дохожу до определённого момента и дальше ступор.
К сожалению по заданию нельзя использовать правило Лопиталя, а как другим способом решить, я не знаю.
Если кто знает, как это решить, то объясните пожалуйста.
Кстати, там вроде надо вынести в числителе и в знаменателе скобочки типа (x-4 стремится к 0) и сократить их, тогда неопределённость типа (0 поделить на 0) исчезнет и можно будет вычислить значение предела. Хм.











