IPB
ЛогинПароль:

> Компиляция правил для данного раздела

1. Заголовок темы должен быть информативным. В противном случае тема закрывается и удаляется ...
2. НЕ используйте форум для личного общения, все что не относится к обсуждению темы - на PM!
3. Одна тема - один вопрос (задача)
4. Спрашивайте и отвечайте четко и по существу!!!

> Математика, Помогите решить задачи!
сообщение
Сообщение #1


Пионер
**

Группа: Пользователи
Сообщений: 56
Пол: Мужской

Репутация: -  -1  +


Народ мне нужно решить 3 задачи:
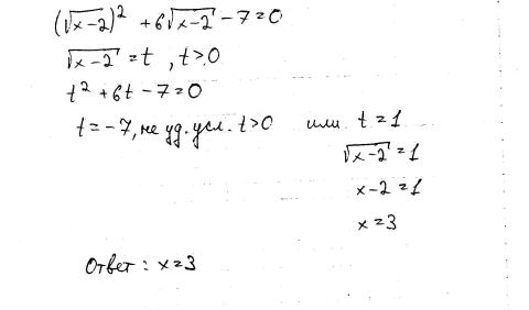
1)(√x-2)²+6√x-2-7=0, x-2 в двух случаях под корнем!
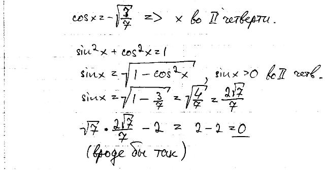
2)√7sinx-2, если cosx=-√3/7
Семерка под корнем и три седьмых тоже под корнем!
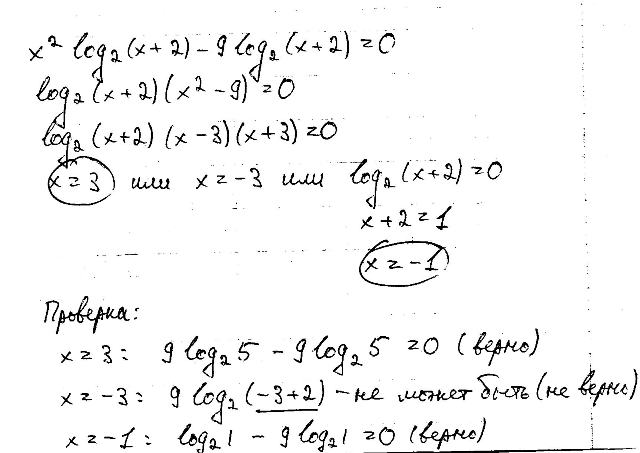
3)x²log (x+2)-9log (x+2)=0
У логарифмов в обоих случаях=2
Заранее огромное спасибо!!!



--------------------
 Оффлайн  Профиль  PM 
 К началу страницы 
+ Ответить 
 
 Ответить  Открыть новую тему 
Ответов(1 - 9)
сообщение
Сообщение #2


Michael_Rybak
*****

Группа: Пользователи
Сообщений: 1 046
Пол: Мужской
Реальное имя: Michael_Rybak

Репутация: -  32  +


что делал, что не получается?
 Оффлайн  Профиль  PM 
 К началу страницы 
+ Ответить 
сообщение
Сообщение #3


Пионер
**

Группа: Пользователи
Сообщений: 56
Пол: Мужской

Репутация: -  -1  +


Я сделал первую и вторую:
1)Ответ:1.
2)Ответ:0.
Проверьте пожалуйста, это правильно?!
А вот четвертая у меня не очень получается!


--------------------
 Оффлайн  Профиль  PM 
 К началу страницы 
+ Ответить 
сообщение
Сообщение #4


The matrix has me!!!
**

Группа: Пользователи
Сообщений: 74
Пол: Мужской
Реальное имя: Евгений

Репутация: -  0  +


Цитата
А вот четвертая у меня не очень получается!

Может всё-таки третья? smile.gif

В первой не может быть 1, так как под корнем не может быть отрацательного числа...

Сообщение отредактировано: Yevgeny -


--------------------
"Брать производную можно научить даже обезьяну" - мой препод по матану! :-)
 Оффлайн  Профиль  PM 
 К началу страницы 
+ Ответить 
сообщение
Сообщение #5


Гость






Цитата
1)Ответ:1.
Ты не довел решение до конца. Это - не окончательный результат.
 К началу страницы 
+ Ответить 
сообщение
Сообщение #6


Человек
*****

Группа: Пользователи
Сообщений: 1 050
Пол: Мужской
Реальное имя: Станислав

Репутация: -  3  +


не успел...

Сообщение отредактировано: compiler -


--------------------
Спасибо!
Удачи!
 Оффлайн  Профиль  PM 
 К началу страницы 
+ Ответить 
сообщение
Сообщение #7


The matrix has me!!!
**

Группа: Пользователи
Сообщений: 74
Пол: Мужской
Реальное имя: Евгений

Репутация: -  0  +


Прикрепленное изображение

Добавлено через 6 мин.
Прикрепленное изображение

Добавлено через 7 мин.
Прикрепленное изображение


--------------------
"Брать производную можно научить даже обезьяну" - мой препод по матану! :-)
 Оффлайн  Профиль  PM 
 К началу страницы 
+ Ответить 
сообщение
Сообщение #8


Пионер
**

Группа: Пользователи
Сообщений: 56
Пол: Мужской

Репутация: -  -1  +


Yevgeny,
Спасиьо тебе огромное!!!


--------------------
 Оффлайн  Профиль  PM 
 К началу страницы 
+ Ответить 
сообщение
Сообщение #9


Пионер
**

Группа: Пользователи
Сообщений: 56
Пол: Мужской

Репутация: -  -1  +


Помогите решить 4 номер в тригонометрии и 3,4,5 в показательных уравнениях.


Эскизы прикрепленных изображений
Прикрепленное изображение

--------------------
 Оффлайн  Профиль  PM 
 К началу страницы 
+ Ответить 
сообщение
Сообщение #10


Профи
****

Группа: Пользователи
Сообщений: 731
Пол: Женский

Репутация: -  25  +


Тригонометрия решается как квадратное уравнение.. Заменяешь sin3x на у и вперед.. А в конце тебе просто нужен корень, который попадает в указанный промежуток. У меня получилось 120

3. приравниваешь f(x) к g(x) и решаешь биквадратное уравнение. Ответ: 1\2
4 и 5 вроде тоже, приравниваешь и решаешь, хотя смущает формулировка, в 4-м ответ 1\2, в 5-м - 1..

..но ответы не проверяла.. если что, говори.. wink.gif
 Оффлайн  Профиль  PM 
 К началу страницы 
+ Ответить 

 Ответить  Открыть новую тему 
1 чел. читают эту тему (гостей: 1, скрытых пользователей: 0)
Пользователей: 0

 





- Текстовая версия 24.12.2025 3:29
500Gb HDD, 6Gb RAM, 2 Cores, 7 EUR в месяц — такие хостинги правда бывают
Связь с администрацией: bu_gen в домене octagram.name