IPB
ЛогинПароль:

> Компиляция правил для данного раздела

1. Заголовок темы должен быть информативным. В противном случае тема закрывается и удаляется ...
2. НЕ используйте форум для личного общения, все что не относится к обсуждению темы - на PM!
3. Одна тема - один вопрос (задача)
4. Спрашивайте и отвечайте четко и по существу!!!

> Найти площадь ограниченной окружности, ребята, помогите !
сообщение
Сообщение #1


Новичок
*

Группа: Пользователи
Сообщений: 33
Пол: Мужской

Репутация: -  0  +


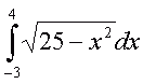
Найти площадь ограниченной окружности x2+y2=25 осью OX и ординатами x= -3; x= 4
 Оффлайн  Профиль  PM 
 К началу страницы 
+ Ответить 
 
 Ответить  Открыть новую тему 
Ответов(1 - 5)
сообщение
Сообщение #2


Ищущий истину
******

Группа: Пользователи
Сообщений: 4 825
Пол: Мужской
Реальное имя: Олег

Репутация: -  45  +


Вырази y(x), получишь функцию с корнем... в1 четверти нам сойдет.

Исчитаешь сумму 2интегралов. Первыот 0 до 3 второй от 0 до 4...
интеграл от функции y(x)конечно.
все просто.


--------------------
Помогая друг другу, мы справимся с любыми трудностями!
"Не опускать крылья!" (С)
 Оффлайн  Профиль  PM 
 К началу страницы 
+ Ответить 
сообщение
Сообщение #3


Новичок
*

Группа: Пользователи
Сообщений: 33
Пол: Мужской

Репутация: -  0  +


Извини мне что-то непонятен 1-ый шаг
 Оффлайн  Профиль  PM 
 К началу страницы 
+ Ответить 
сообщение
Сообщение #4


Профи
****

Группа: Пользователи
Сообщений: 660
Пол: Мужской
Реальное имя: Михаил

Репутация: -  11  +


Просто решаешь определенный интеграл:
Прикрепленное изображение


--------------------
Никогда не жадничай. Свои проблемы с любовью дари людям!
 Оффлайн  Профиль  PM 
 К началу страницы 
+ Ответить 
сообщение
Сообщение #5


Новичок
*

Группа: Пользователи
Сообщений: 33
Пол: Мужской

Репутация: -  0  +


тут странная дробь получается
 Оффлайн  Профиль  PM 
 К началу страницы 
+ Ответить 
сообщение
Сообщение #6


Профи
****

Группа: Пользователи
Сообщений: 660
Пол: Мужской
Реальное имя: Михаил

Репутация: -  11  +


Ты бы хоть в справочник заглянул!
Прикрепленное изображение


--------------------
Никогда не жадничай. Свои проблемы с любовью дари людям!
 Оффлайн  Профиль  PM 
 К началу страницы 
+ Ответить 

 Ответить  Открыть новую тему 
1 чел. читают эту тему (гостей: 1, скрытых пользователей: 0)
Пользователей: 0

 





- Текстовая версия 23.12.2025 22:31
500Gb HDD, 6Gb RAM, 2 Cores, 7 EUR в месяц — такие хостинги правда бывают
Связь с администрацией: bu_gen в домене octagram.name