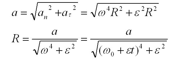
1)Колесо, вращающееся с постоянным угловым ускорением 3рад/с^2.Найти радиус колеса если через 1 сек. После начала движения.полное ускорение точек на обаде колеса 7,5м/с^2
2)Шар диаметром 40 см, вращ. Вокруг от проходящего через него центр масс согласно закону ф=Аt+5Вt^2 , В=0,2 град/с^2. Вращение проходит под действием силы 5Н касательной к поверхности шара.Найти массу шара.
Брррррр........ помогите решить...













