> Верхняя и нижняя - соотвественно силы Архимеда верхнего
> и нихнего слоев жидкостей.
Ну, хорошо. Такая точка зрения в целом корректна. Хотя все не так просто, как ты, возможно, думаешь..
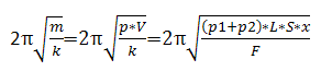
> Коеффициент пропорциональности равен k=F/x, ведь так???
Да, так.
> Что в нашем случае будет F, разница сил Архимеда или большая
> из них, "нижняя"???
F в нашем случае будет действительно разность, но только не двух сил Архимеда. Не гадай, подходи с более общей точки зрения.
Какие силы в этой задаче есть вообще? Их две: выталкивающая (Архимедова) сила и сила тяжести. Силу Архимеда ты захотел поделить на две - не возражаю. Но только эти две Архимедовы силы нужно не вычитать, а складывать. Ведь они действуют в одну сторону (вверх)! И, как я уже говорил, по сути являются искусственным разбиением одной силы на две.
А вот сила тяжести действительно противодействует Архимеду, то есть направлена в другую сторону (вниз).
Что такое "в нашем случае" сила F? Как и в любом случае, если мы исследуем колебательную систему, это есть просто суммарная сила, действующая на тело. Неважно, какой она природы. Главное - чтоб зависимость ее от расстояния была линейной.
Что из этого следует? Надо сложить все силы, выразив их как функции расстояния (от чего мерить, скажу ниже). И когда эта полная сила будет выражена формулой, надо на эту формулу посмотреть. Если она (формула) представляет собой линейную зависимость от расстояния - значит, система будет совершать гармонические голебания после выведения из равновесия.
> x=L/2, да?

Нет, конечно.
x - это отклонение от положения равновесия. Тебе сказано, что тело плавает на границе раздела. Так? Начинаем анализировать это. Если бы тело было тяжелым, то есть более плотным, чем нижняя жидкость - что бы было? Оно бы утонуло, а не плавало бы там. Значит, p<p2.
Дальше идем. Если бы оно было менее плотным, чем верхняя жидкость - что тогда? Оно всплыло бы выше поверхности раздела и продолжало бы всплывать. Значит, p1<p.
Теперь я позволю себе немного проиллюстрировать процесс. Я беру кусок дерева и кладу его в воду. Что происходит? Да, оно плавает. Похоже на нашу задачу? Да, но верхней жидкости не хватает. Постой - а как это не хватает? А воздух? Чем не жидкость?

Короче, задача абсолютно идентична простому куску дерева, плавающему в воде на воздухе. Да, выталкивающая сила воздуха невелика, но она есть (вспомни воздушные шарики). Плотность дерева действительно меньше плотности воды (в воде дерево плавает) и больше плотности воздуха (в воздухе дерево тонет).
Теперь, когда все так обычно, будем действовать обычными методами. Позволим бруску плавать достаточно долгое время, чтобы он успокоился, и даже чтоб обсох в тех местах, которые не погружены в воду. Теперь вынем его и маркером проведем по границе сухого и мокрого линию (ватерлинию). Это и есть наш ноль.
Кладем брусок обратно в воду. Он плавает так, что поверхность воды точно совпадает с нашей меткой. Теперь рукой (то есть, приложив силу) притопим брусок и будем удерживать его в этом состоянии. Какую силу мы прикладываем для этого? Ровно такую, с которой его выталкивает вода. На какое расстояние мы отклонили систему? На сколько наша метка ниже поверхности. Вот это и есть наш "x". Теперь увеличим силу действия руки. Брусок погрузится глубже (то есть увеличится x). Даже вот в таком примитивном рассмотрении заметно, что чем больше сила, тем больше отклонение. А при нулевом отклонении - нулевая сила (то есть не нужно прикладывать постороннюю силу, чтоб удерживать брусок в положении, когда метка совпадает с поверхностью). То есть ситуация похожа на пропорциональность между x и F.
Теперь твоя задача точно выяснить зависимость F от x. Можешь учитывать выталкивающие силы воды и воздуха по отдельности - как тебе удобнее. Давай, займись этим. И напиши, все ли ты понял из вышеизложенного.