Всем приветик! Помогите пожалуйста решить, все в одном проекте надо сделать:
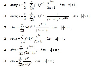
Дано действительные числа х и натуральное n=5..10. Вычислить функции
Сообщение отредактировано: Luna -
Прежде чем задать вопрос, смотрите FAQ.
Рекомендуем загрузить DRKB.
Наладить общение поможет, если вы подпишитесь по почте на новые темы в этом форуме.
| Luna |
Сообщение
#1
|
|
Группа: Пользователи Сообщений: 7 Пол: Мужской Репутация: 0 |
Всем приветик! Помогите пожалуйста решить, все в одном проекте надо сделать:
Дано действительные числа х и натуральное n=5..10. Вычислить функции Сообщение отредактировано: Luna - Эскизы прикрепленных изображений |
![]() ![]() |
| TarasBer |
Сообщение
#2
|
![]() Злостный любитель ![]() ![]() ![]() ![]() ![]() Группа: Пользователи Сообщений: 1 755 Пол: Мужской Репутация: 62 |
Эта строчка не считает факториал.
Проверь. Кстати, x^n не надо каждый раз считать заново. Лучше завести отдельную переменную, назвать её xn, инициализировать как икс и умножать при каждой итерации (кроме первой) на x*x. И икс тоже лучше сразу отдельно запомнить, а не писать каждый раз StrToFloat... -------------------- |
| Luna |
Сообщение
#3
|
|
Группа: Пользователи Сообщений: 7 Пол: Мужской Репутация: 0 |
Эта строчка не считает факториал.
Проверь. Нет, все равно не то. Понимаете, итог не должен быть отрицательным.. и не должен быть не понятный конец ( -1,38131925934753E-7 ), должно быть обычое положительное число, там что то к примеру 1,323489214 Сообщение отредактировано: Luna - |
Luna Дано действительные числа х и натуральное n=5..10. Вычислить функции 28.10.2010 23:30
Lapp Дано действительные числа х и натуральное n=5..10.… 29.10.2010 7:04
Luna
Непонятно.
Что значит n=5..10 ?
В суммах n измен… 30.10.2010 18:16
Lapp n это верхняя граница, ее нужно самому задавать в … 30.10.2010 18:33
Luna
n - это верхняя граница чего? n?
Будь добр, пиши… 31.10.2010 16:32
Luna Вот, есть готовая прога, все что нужно в ней. Но, … 2.11.2010 21:21
volvo Luna, ну ведь столько раз уже жевано - пережевано,… 2.11.2010 22:00
мисс_граффити
действительно... непонятный какой-то. четкого хэп… 3.11.2010 12:54
TarasBer > И почему он, кстати, не должен быть отрицател… 3.11.2010 14:10
Luna
> И почему он, кстати, не должен быть отрицате… 3.11.2010 22:30
TarasBer
надо домножить его на
X2/(2n * (2n+1))
… 3.11.2010 22:46
Luna не ну понятно, а что и где в коде то дописать, изм… 8.11.2010 3:54
Lapp что и где в коде то дописать, изменить? Я в програ… 8.11.2010 7:47![]() ![]() |
|
Текстовая версия | 30.12.2025 2:35 |