IPB
ЛогинПароль:

> Прочтите прежде чем задавать вопрос!

1. Заголовок темы должен быть информативным. В противном случае тема удаляется ...
2. Все тексты программ должны помещаться в теги [code=pas] ... [/code], либо быть опубликованы на нашем PasteBin в режиме вечного хранения.
3. Прежде чем задавать вопрос, см. "FAQ", если там не нашли ответа, воспользуйтесь ПОИСКОМ, возможно такую задачу уже решали!
4. Не предлагайте свои решения на других языках, кроме Паскаля (исключение - только с согласия модератора).
5. НЕ используйте форум для личного общения, все что не относится к обсуждению темы - на PM!
6. Одна тема - один вопрос (задача)
7. Проверяйте программы перед тем, как разместить их на форуме!!!
8. Спрашивайте и отвечайте четко и по существу!!!

> вычисление выражений с использованием процедур., сессия горит(т.е. пока зачёт!)
сообщение
Сообщение #1





Группа: Пользователи
Сообщений: 9
Пол: Мужской
Реальное имя: Павел

Репутация: -  0  +


Помогите решить задачку(зачёт накроется если мне не поогут!)

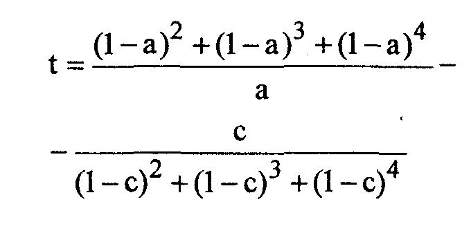
для организации вычислений но заданной формуле составить программы с использова нием функции или подпрограммы. для этого в формуле ВЫЯВИТЬ вычисления, подобные по своей схеме, т.е. различающиеся только объектами операций...
Моё выражение в прикреплённом файле. Заранее великое СПАСИБО!!!


Эскизы прикрепленных изображений
Прикрепленное изображение
 Оффлайн  Профиль  PM 
 К началу страницы 
+ Ответить 
 
 Ответить  Открыть новую тему 
Ответов
сообщение
Сообщение #2





Группа: Пользователи
Сообщений: 9
Пол: Мужской
Реальное имя: Павел

Репутация: -  0  +


для организации вычислений по заданной формуле составить программу с использованием функции или подпрограммы. для этого в формуле ВЫЯВИТЬ вычисления, подобные по своей схеме, т.е. различающиеся только объектами операций..


t= ((1-а)^2 +(1-а)^3 +(1-а)^4)/(c/((1-а)^2 +(1-а)^3 +(1-а)^4)) <-- моя формула.


Прикрепленные файлы
Прикрепленный файл  A_4_1_1.PAS ( 793 байт ) Кол-во скачиваний: 353
 Оффлайн  Профиль  PM 
 К началу страницы 
+ Ответить 

Сообщений в этой теме


 Ответить  Открыть новую тему 
1 чел. читают эту тему (гостей: 1, скрытых пользователей: 0)
Пользователей: 0

 





- Текстовая версия 29.04.2026 12:43
500Gb HDD, 6Gb RAM, 2 Cores, 7 EUR в месяц — такие хостинги правда бывают
Связь с администрацией: bu_gen в домене octagram.name