IPB
ЛогинПароль:

> Компиляция правил для данного раздела

1. Заголовок темы должен быть информативным. В противном случае тема закрывается и удаляется ...
2. НЕ используйте форум для личного общения, все что не относится к обсуждению темы - на PM!
3. Одна тема - один вопрос (задача)
4. Спрашивайте и отвечайте четко и по существу!!!

> Интегралы: с заменой и частями, Подскажите, что заменить и подставить нужно
сообщение
Сообщение #1


Новичок
*

Группа: Пользователи
Сообщений: 10
Пол: Мужской

Репутация: -  0  +


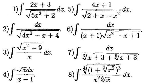
Вот нужно решить интегралы с заменой(рис 1), но что заменить, никак не могу додуматься...подскажите..и если можно на будущее обьяснтите, что и как лучше заменять...

и (рис 2) с частями....

Только что нужно заменить и на какие части лучше разбыть... а дальше я сам...

Сообщение отредактировано: TauRus -


Эскизы прикрепленных изображений
Прикрепленное изображение Прикрепленное изображение
 Оффлайн  Профиль  PM 
 К началу страницы 
+ Ответить 
 
 Ответить  Открыть новую тему 
Ответов
сообщение
Сообщение #2


Пионер
**

Группа: Пользователи
Сообщений: 51
Пол: Мужской
Реальное имя: Алексей

Репутация: -  0  +


а в чем именно у Вас проблема?

ну я могу сказать что в первом примере надо разбить на 2 интеграла, первый табличный, а во втором х заносите из числителя под дифференциал, предварительно умножив интеграл на 1\2 и получаете табличный

наприме в номере 6 второй части, разбивате на сумму двух интегралов, первый из которых берется легко , а второй по частям, там по е^x инегрируете, а по х дифференцируете

Сообщение отредактировано: red_alex -


--------------------
Если люди отказываются верить в простоту математики, то это только потому, что они не понимают всю сложность жизни.

Джон фон Нейман
 Оффлайн  Профиль  PM 
 К началу страницы 
+ Ответить 

Сообщений в этой теме


 Ответить  Открыть новую тему 
1 чел. читают эту тему (гостей: 1, скрытых пользователей: 0)
Пользователей: 0

 





- Текстовая версия 15.04.2026 21:24
500Gb HDD, 6Gb RAM, 2 Cores, 7 EUR в месяц — такие хостинги правда бывают
Связь с администрацией: bu_gen в домене octagram.name