1. Заголовок темы должен быть информативным. В противном случае тема закрывается и удаляется ...
2. НЕ используйте форум для личного общения, все что не относится к обсуждению темы - на PM!
3. Одна тема - один вопрос (задача)
4. Спрашивайте и отвечайте четко и по существу!!!
| Tan |
Сообщение
#1
|
![]() Профи ![]() ![]() ![]() ![]() Группа: Пользователи Сообщений: 559 Пол: Мужской Реальное имя: Бруно Репутация: 10 |
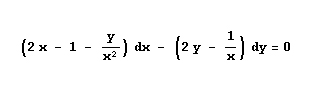
Форумчане, у меня возникла сложность в том, как начать решать дифф. уравнение прикреплённое к сообщению. Я полагаю надо привести к однородному для начала, а само задание : найти общий интеграл. Буду рад любой помощи!
Эскизы прикрепленных изображений -------------------- Цитата Imagination is more important than knowledge. Albert Einstein |
![]() ![]() |
| Tan |
Сообщение
#2
|
![]() Профи ![]() ![]() ![]() ![]() Группа: Пользователи Сообщений: 559 Пол: Мужской Реальное имя: Бруно Репутация: 10 |
Вот докуда я дошёл подскажи, что дальше!
Эскизы прикрепленных изображений -------------------- Цитата Imagination is more important than knowledge. Albert Einstein |
Tan Дифф. уравнения. 28.04.2007 22:15
Fanat
Форумчане, у меня возникла сложность в том, как н… 28.04.2007 23:05
Tan Сейчас сяду за книги буду разбираться, спасибо, чт… 28.04.2007 23:09
Fanat
Сейчас сяду за книги буду разбираться, спасибо, ч… 28.04.2007 23:26
Fanat
Вот докуда я дошёл подскажи, что дальше!
П… 28.04.2007 23:47
Tan А если мой продолжать (несмотря на твой вариант, х… 28.04.2007 23:57
Fanat
А если мой продолжать (несмотря на твой вариант, … 29.04.2007 0:06
Tan либо это обрывок мысли, либо я что - то не понял.… 29.04.2007 0:09
Fanat
либо это обрывок мысли, либо я что - то не понял.… 29.04.2007 0:16
Tan кстатия перерешал и у меня всё равно вышло всё что… 29.04.2007 0:38
Fanat
кстатия перерешал и у меня всё равно вышло всё чт… 29.04.2007 0:52
Tan а ну да, мы же С можем взять произвольную, надо бо… 29.04.2007 0:53![]() ![]() |
|
Текстовая версия | 23.02.2026 13:05 |