IPB
ЛогинПароль:

> Компиляция правил для данного раздела

1. Заголовок темы должен быть информативным. В противном случае тема закрывается и удаляется ...
2. НЕ используйте форум для личного общения, все что не относится к обсуждению темы - на PM!
3. Одна тема - один вопрос (задача)
4. Спрашивайте и отвечайте четко и по существу!!!

 
 Ответить  Открыть новую тему 
> векторная алгебра, вычисление суммы скалярных произведений
сообщение
Сообщение #1


Профи
****

Группа: Пользователи
Сообщений: 920
Пол: Женский
Реальное имя: Марина

Репутация: -  2  +


даны единичные векторы а,b,c, удовлетворяющие условию a+b+c=0. вычислите ab+bc+ca
 Оффлайн  Профиль  PM 
 К началу страницы 
+ Ответить 
сообщение
Сообщение #2


просто человек
******

Группа: Пользователи
Сообщений: 3 641
Пол: Женский
Реальное имя: Юлия

Репутация: -  55  +


и в чем проблема?
вектора равны, расположены так, что образуют треугольник - равносторонний, то есть углы по 60 градусов...
чего еще не хватает?


--------------------
Все содержимое данного сообщения (кроме цитат) является моим личным скромным мнением и на статус истины в высшей инстанции не претендует.
На вопросы по программированию, физике, математике и т.д. в аське и личке не отвечаю. Даже "один-единственный раз" в виде исключения!
 Оффлайн  Профиль  PM 
 К началу страницы 
+ Ответить 
сообщение
Сообщение #3


Профи
****

Группа: Пользователи
Сообщений: 920
Пол: Женский
Реальное имя: Марина

Репутация: -  2  +


Цитата(мисс_граффити @ 29.10.2006 18:40) *

и в чем проблема?
вектора равны, расположены так, что образуют треугольник - равносторонний, то есть углы по 60 градусов...
чего еще не хватает?

теперь всего хватает! спасибо!
 Оффлайн  Профиль  PM 
 К началу страницы 
+ Ответить 
сообщение
Сообщение #4


просто человек
******

Группа: Пользователи
Сообщений: 3 641
Пол: Женский
Реальное имя: Юлия

Репутация: -  55  +


пожалуйста


--------------------
Все содержимое данного сообщения (кроме цитат) является моим личным скромным мнением и на статус истины в высшей инстанции не претендует.
На вопросы по программированию, физике, математике и т.д. в аське и личке не отвечаю. Даже "один-единственный раз" в виде исключения!
 Оффлайн  Профиль  PM 
 К началу страницы 
+ Ответить 
сообщение
Сообщение #5


Профи
****

Группа: Пользователи
Сообщений: 920
Пол: Женский
Реальное имя: Марина

Репутация: -  2  +


Цитата(мисс_граффити @ 29.10.2006 18:50) *

пожалуйста

у меня ответ не сходится. должно быть -3/2, у меня просто 3/2.
делалла так:
1*1*cos60+1*1*cos60+1*1*cos60
в чем я ошибаюсь?
 Оффлайн  Профиль  PM 
 К началу страницы 
+ Ответить 
сообщение
Сообщение #6


просто человек
******

Группа: Пользователи
Сообщений: 3 641
Пол: Женский
Реальное имя: Юлия

Репутация: -  55  +


не знаю... может, опечатка?


--------------------
Все содержимое данного сообщения (кроме цитат) является моим личным скромным мнением и на статус истины в высшей инстанции не претендует.
На вопросы по программированию, физике, математике и т.д. в аське и личке не отвечаю. Даже "один-единственный раз" в виде исключения!
 Оффлайн  Профиль  PM 
 К началу страницы 
+ Ответить 
сообщение
Сообщение #7


Уникум
*******

Группа: Пользователи
Сообщений: 6 823
Пол: Мужской
Реальное имя: Лопáрь (Андрей)

Репутация: -  159  +


Цитата(18192123 @ 29.10.2006 23:23) *

1*1*cos60+1*1*cos60+1*1*cos60
в чем я ошибаюсь?

Дело в том, что угол между a и b (а также между остальными векторами) не 60, а 120 градусов. Перенеси вектора параллельно так, чтобы совместить их начала, и увидишь.


--------------------
я - ветер, я северный холодный ветер
я час расставанья, я год возвращенья домой
 Оффлайн  Профиль  PM 
 К началу страницы 
+ Ответить 
сообщение
Сообщение #8


Профи
****

Группа: Пользователи
Сообщений: 920
Пол: Женский
Реальное имя: Марина

Репутация: -  2  +


Цитата(lapp @ 30.10.2006 4:24) *

Дело в том, что угол между a и b (а также между остальными векторами) не 60, а 120 градусов. Перенеси вектора параллельно так, чтобы совместить их начала, и увидишь.

мне не понятно в чем смысл а+в+с=0?
 Оффлайн  Профиль  PM 
 К началу страницы 
+ Ответить 
сообщение
Сообщение #9


просто человек
******

Группа: Пользователи
Сообщений: 3 641
Пол: Женский
Реальное имя: Юлия

Репутация: -  55  +


вектор с приходит в ту же точку, откуда выходит вектор а


--------------------
Все содержимое данного сообщения (кроме цитат) является моим личным скромным мнением и на статус истины в высшей инстанции не претендует.
На вопросы по программированию, физике, математике и т.д. в аське и личке не отвечаю. Даже "один-единственный раз" в виде исключения!
 Оффлайн  Профиль  PM 
 К началу страницы 
+ Ответить 
сообщение
Сообщение #10


Профи
****

Группа: Пользователи
Сообщений: 920
Пол: Женский
Реальное имя: Марина

Репутация: -  2  +


Цитата(мисс_граффити @ 5.11.2006 13:55) *

вектор с приходит в ту же точку, откуда выходит вектор а

и что мне это дает?
 Оффлайн  Профиль  PM 
 К началу страницы 
+ Ответить 
сообщение
Сообщение #11


просто человек
******

Группа: Пользователи
Сообщений: 3 641
Пол: Женский
Реальное имя: Юлия

Репутация: -  55  +


то, что они образуют равносторонний треугольник!
отсюда ты углы находишь.


--------------------
Все содержимое данного сообщения (кроме цитат) является моим личным скромным мнением и на статус истины в высшей инстанции не претендует.
На вопросы по программированию, физике, математике и т.д. в аське и личке не отвечаю. Даже "один-единственный раз" в виде исключения!
 Оффлайн  Профиль  PM 
 К началу страницы 
+ Ответить 
сообщение
Сообщение #12


Профи
****

Группа: Пользователи
Сообщений: 920
Пол: Женский
Реальное имя: Марина

Репутация: -  2  +


Цитата(мисс_граффити @ 5.11.2006 15:02) *

то, что они образуют равносторонний треугольник!
отсюда ты углы находишь.

если так рассуждать, то углы между векторами получаются по 60 градусов, и в ответе будет знак"+" вместо нужного "-"
 Оффлайн  Профиль  PM 
 К началу страницы 
+ Ответить 
сообщение
Сообщение #13


Гость






Цитата
то углы между векторами получаются по 60 градусов
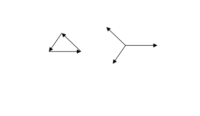
Углы между векторами и между сторонами равностороннего треугольника - разные вещи... Не забывай, у вектора есть направление!!! lapp сказал, что нужно сделать. Ты пробовала?

Вот наглядно иллюстрирующая это картинка:
Прикрепленное изображение

Так чему равен угол между векторами?
 К началу страницы 
+ Ответить 
сообщение
Сообщение #14





Группа: Пользователи
Сообщений: 5
Пол: Мужской
Реальное имя: Иван

Репутация: -  0  +


Это понятно, но как вы узнали что эти углы равны именно 120 градусам? wacko.gif

Сообщение отредактировано: Franz Ferdinand -
 Оффлайн  Профиль  PM 
 К началу страницы 
+ Ответить 
сообщение
Сообщение #15





Группа: Пользователи
Сообщений: 5
Пол: Мужской
Реальное имя: Иван

Репутация: -  0  +


Все, я понял. smile.gif
 Оффлайн  Профиль  PM 
 К началу страницы 
+ Ответить 
сообщение
Сообщение #16


Профи
****

Группа: Пользователи
Сообщений: 920
Пол: Женский
Реальное имя: Марина

Репутация: -  2  +


Цитата(18192123 @ 29.10.2006 18:35) *

даны единичные векторы а,b,c, удовлетворяющие условию a+b+c=0. вычислите ab+bc+ca


условие тоже самое, найти тоже самое, только теперь даны вектора с разной длиной длина а=3, длина b=1, длина c=4.

Как действовать в таком случае?
 Оффлайн  Профиль  PM 
 К началу страницы 
+ Ответить 
сообщение
Сообщение #17


просто человек
******

Группа: Пользователи
Сообщений: 3 641
Пол: Женский
Реальное имя: Юлия

Репутация: -  55  +


ну значит 3 и 1 направлены в одну сторону, а 4 - в противоположную. нарисуй по клеточкам.


--------------------
Все содержимое данного сообщения (кроме цитат) является моим личным скромным мнением и на статус истины в высшей инстанции не претендует.
На вопросы по программированию, физике, математике и т.д. в аське и личке не отвечаю. Даже "один-единственный раз" в виде исключения!
 Оффлайн  Профиль  PM 
 К началу страницы 
+ Ответить 
сообщение
Сообщение #18


Профи
****

Группа: Пользователи
Сообщений: 920
Пол: Женский
Реальное имя: Марина

Репутация: -  2  +


Цитата(мисс_граффити @ 13.01.2007 22:09) *

ну значит 3 и 1 направлены в одну сторону, а 4 - в противоположную. нарисуй по клеточкам.

а как быть с углами, мне ведь нужно скалярное произведение?
 Оффлайн  Профиль  PM 
 К началу страницы 
+ Ответить 
сообщение
Сообщение #19


просто человек
******

Группа: Пользователи
Сообщений: 3 641
Пол: Женский
Реальное имя: Юлия

Репутация: -  55  +


а ты нарисуй!
сразу увидишь, чему углы равны.


--------------------
Все содержимое данного сообщения (кроме цитат) является моим личным скромным мнением и на статус истины в высшей инстанции не претендует.
На вопросы по программированию, физике, математике и т.д. в аське и личке не отвечаю. Даже "один-единственный раз" в виде исключения!
 Оффлайн  Профиль  PM 
 К началу страницы 
+ Ответить 

 Ответить  Открыть новую тему 
1 чел. читают эту тему (гостей: 1, скрытых пользователей: 0)
Пользователей: 0

 





- Текстовая версия 26.02.2026 1:01
500Gb HDD, 6Gb RAM, 2 Cores, 7 EUR в месяц — такие хостинги правда бывают
Связь с администрацией: bu_gen в домене octagram.name