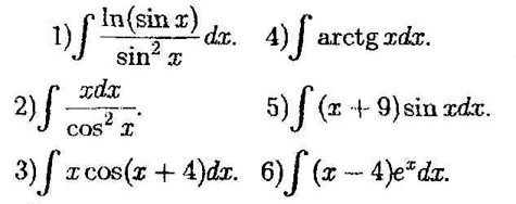
Вот нужно решить интегралы с заменой(рис 1), но что заменить, никак не могу додуматься...подскажите..и если можно на будущее обьяснтите, что и как лучше заменять...
и (рис 2) с частями....
Только что нужно заменить и на какие части лучше разбыть... а дальше я сам...
Сообщение отредактировано: TauRus -










