Начну со сложного (относительно)
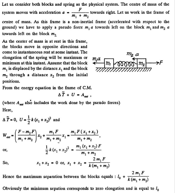
Задание 1. На гладкой горизонтальной плоскости лежат два одинаковых бруска, соедененные невесомой пружинкой жесткости k и длины l0 в недеформированном состоянии. На один из брусков действует горизонтальная сила F. Найти максимальное и минимальное расстояние между брусками в процессе движения.
У меня есть подсказки к решению от предподавателя и решение с книги, но оно не очень подходит - там не доказывается одинаковость укорения брусков, но само решение очень похожее. Если будет нужно - скажите
Что у меня есть:
1) В центре масс - 2*m*a©=F - с этим ясно.
Тогда для первого и второго бруска:
m*a(1)=???
m*a(2)=???
Бруски двигают силы упругости и F? И тот и тот? Не могу понять, у меня в тетради написаны две силы для каждого из брусков, в решениях как-то по-другому
2) Жесткость пружинок (от тела до ЦМ), которые действуют на каждый из брусков, равна 2k - это ясно.
3) Далее советуют использовать теорему про прирост кин. энергии. В конце и в начале кинетическая энергия равна нулю. Я так понял, следует использовать уравнение U=W(внешних сил). По записям, таким образом мы выходим на равность сил, которые действуют на тела. Но, не разобравшись с п.2, мне это сделать трудно
Думается, что потенциальная энергия - от пружинок, внешняя - от п.1 и отдельно F, возможно
Сообщение отредактировано: Vinchkovsky -











