помогите пожалуйста в делфи написать программку.Задание такое: Вычислить значения арифметического выражения.
впринципе не сложно,но я не знаю как в коде написать числа с такими индесами.
			Прежде чем задать  вопрос, смотрите FAQ.
Рекомендуем загрузить DRKB.
Наладить общение поможет, если вы подпишитесь по почте на новые темы в этом форуме.
| KATYSHA | 
                        
			
			  
			
				 Сообщение
					#1				
			 
		 | 
	
        	
        		![]() Новичок ![]() Группа: Пользователи Сообщений: 48 Пол: Женский Реальное имя: Катюшка Репутация:    0           	 | 
       
			
			 помогите пожалуйста в делфи написать программку.Задание такое: Вычислить значения арифметического выражения. 
			впринципе не сложно,но я не знаю как в коде написать числа с такими индесами. Эскизы прикрепленных изображений  | 
	
![]() ![]()  | 
	
| klem4 | 
                        
			
			  
			
				 Сообщение
					#2				
			 
		 | 
	
        	
        		![]() Perl. Just code it! ![]() ![]() ![]() ![]() ![]() ![]() Группа: Пользователи Сообщений: 4 100 Пол: Мужской Реальное имя: Андрей Репутация:    44           	 | 
       
			
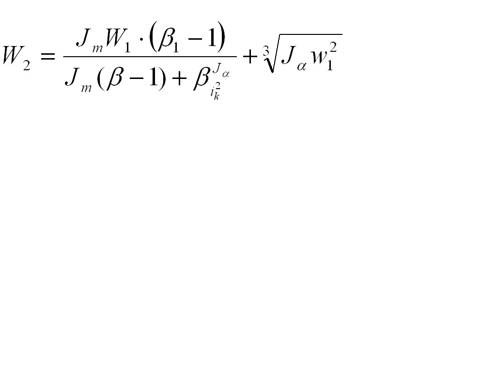
			 Тут это либо просто например W2 = ... либо в некоторых местах это могут быть индекси элементов массовов, например B[1]. что за формула-то вообще ? 
			
			-------------------- perl -e 'print for (map{chr(hex)}("4861707079204E6577205965617221"=~/(.{2})/g)), "\n";' 
					
		 | 
	
| Lapp | 
                        
			
			  
			
				 Сообщение
					#3				
			 
		 | 
	
        	
        		![]() Уникум ![]() ![]() ![]() ![]() ![]() ![]() ![]() Группа: Пользователи Сообщений: 6 823 Пол: Мужской Реальное имя: Лопáрь (Андрей) Репутация:    159           	 | 
       
			
			 Вычислить значения арифметического выражения. не знаю как в коде написать числа с такими индесами. Во-первых, я не совсем понимаю, что здесь такого специфичного для Дельфи, что нельзя в Паскале. Запостила бы в Задачи - получила бы больше откликов.. Во-вторых - что за величина представлена буквой "бета", которая появляется то без индексов, то с одним нижним, а то с нижним и верхним (если это не степень, конечно), да еще и индексы с индексами.. Короче, никаких общих правил нету, все величины - скаляры, векторы, матрицы, тензоры и т.д. - все они представляются так, как ты сочтешь нужным сделать. Если "бета" - это тензор, а варианты с уменьшенным кол-вом индексов - его свертки или что-то подобное - то и исходи из того, что это есть на самом деле. PS извини, Клем, я долго писал, твоего поста не видел... -------------------- я - ветер, я северный холодный ветер 
					
		я час расставанья, я год возвращенья домой  | 
	
| KATYSHA | 
                        
			
			  
			
				 Сообщение
					#4				
			 
		 | 
	
        	
        		![]() Новичок ![]() Группа: Пользователи Сообщений: 48 Пол: Женский Реальное имя: Катюшка Репутация:    0           	 | 
       
			
			 короче смотрите на картинку и всё поймёте 
			Эскизы прикрепленных изображений  | 
	
| volvo | 
                        
			
			  
			
				 Сообщение
					#5				
			 
		 | 
	
| 
        	
        		 Гость  | 
       
			
			 А теперь, внимание!!! Вопрос: "Как формула из первого поста связана с формулой из четвертого?" 
			
			
					
		Минута на обсуждение. Гонг!  | 
	
| Бродяжник | 
                        
			
			  
			
				 Сообщение
					#6				
			 
		 | 
	
| 
        	
        		 Бывалый ![]() ![]() ![]() Группа: Пользователи Сообщений: 206 Пол: Мужской Репутация:    3           	 | 
       
			
			 Цитата Вопрос: "Как формула из первого поста связана с формулой из четвертого?" Ответ: Их запостила сюда Katysha! По-моему, надо просто переобозначить переменные. Обозначить просто бету, как В, бету с единичкой - как В1, а бету с кучей индексов, как BKI (бета-куча-индексов). И так далее. Тогда формула упростится, а на форме для ввода данных разместить возле эдитов имиджи с полными греческими обозначениями. Я как-то сомневаюсь, что задание предполагает работу с тензорами... сказано же, "арифметическое выражение".  | 
	
| KATYSHA | 
                        
			
			  
			
				 Сообщение
					#7				
			 
		 | 
	
        	
        		![]() Новичок ![]() Группа: Пользователи Сообщений: 48 Пол: Женский Реальное имя: Катюшка Репутация:    0           	 | 
       |
![]() ![]()  | 
	
 
  | 
		Текстовая версия | 4.11.2025 9:43 |